土地是一宗好投资,
因为人们再也不可能
将它多增长一点。
——威尔•罗杰斯
美国是“资本主义”经济,这样说的意思是这个国家的资本和其他资产主要都归私人所有。到2003年,美国的人均净资本的存量超过了10万美元。其中68%由私人公司拥有,14%由私人拥有,19%属于政府。此外,美国财富的所有权主要集中在那些最富有的美国人手中。
而在社会主义国家,如1991年以前的苏联或今天的中国,不仅大多数土地和资本都是属于政府所有,而且还没有出现像摩根或比尔•盖茨这样的超级富豪。在资本主义制度下,个人和私人企业拥有大部分的储蓄,拥有大部分的财富,获取这些投资的大部分利润。
穷国和富国的差距很大程度上来源于那种能产生大规模的储蓄流量、进而将其以高回报资本的形式进行投资的能力。然而,一国的非人力资本远远不止工厂和设备,我们还应该考虑它的耕地、石油和矿藏等自然资源,以及像清新的空气、国家公园和阳光海岸这样的环境资产。
在这一章中,我们将讨论土地和资本要素市场的运行。先研究土地市场,它是一种不能被生产出来的要素。然后我们将转向资本供求这个重要问题。资本既是经济的一种产出,也是一种投入。这将会加深我们对于资本主义经济的某些重要特征的了解。本章的附录将会讨论市场的整体行为,即一般均衡理论。
A.土地和租金
作为固定要素收入的租金
除非你决定在气球上经营你的公司,否则土地对任何商业活动都是最基本的生产要素。土地的一个不寻常的特•征是:数量固定,对价格完全缺乏弹性。[ 1 ]
为在一定时期内使用土地而支付的价格称为土地的租金(rent),有时称为纯经济租金(pureeconomicrent)。租金以单位固定要素和单位时间的美元数计价。亚利桑那的荒漠土地的租金每年每英亩可能只要50美分,而纽约市中心或日本的土地的租金每年每英亩可能就是100万美元。经济学家所说的“租金”,不仅是就土地要素而言,而且还用它来讨论所有供给不能变动的要素。支付租金这一概念不仅适用于土地,同时也适用于任何一种供给固定的要素。如果你决定付给杰尼弗•罗派斯100万美元,以邀请他在你的千禧晚会上演出,你就是在为这种独特的要素的临时使用而支付租金。[ 2 ]
租金(或纯经济租金)是对使用供给固定的生产要素所支付的报酬。
布场均衡土地的供给曲线是完全没有弹性的,即是垂直的,因为土地的供给是固定的。在图14-1中,需求和供给曲线相交于点E点,土地的租金必须趋近这个价格。为什么呢?
如果租金髙于均衡价格,所有厂商需要的土地数量就会少于所能供给的现存的土地数量。有些土地所有者就不能将其土地租出去;他们不得不以较低的租金出租自己的土地,于是土地租金就会降下来。同理,租金也不会长时间停留在均衡水平以下。如果租金低于均衡价格,对土地需求没有得到满足的厂商的出价就会迫使要素价格回升到均衡水平。只有在土地的需求量正好等于固定供给的竞争性价格时,市场才会处于均衡。
假定土地只能被用来种植玉米,如果对玉米的需求上升了,玉米地的需求曲线就会向右上方移动,租金就会上升。这说明了土地的一个重要特征——土地价值高是因为玉米价格高。这也是要素需求作为一种派生需求的很好的例子——对要素的需求是由对要素所生产的产品的需求所派生出来的。
因为土地的供给没有弹性,土地在任何一种情况下都会同样地工作,所以土地的价值完全是由产品的价值派生而来,反之则不成立。

图14-1 数置固定的土地无论得到多少租金都会同样发生作用
完全没有供给弹性是租金(有时也叫做纯经济租金)的特征。我 们沿供给曲线SS上移到与要素需求曲线相交处就可以决定租金。 除土地外,我们可将租金分析运用到金矿、7英尺高的篮球运动 员,以及任何一种供给固定的物品中去。
对土地征税
土地供给数量固定这一事实引出了一个很重要的结论。考虑图14-2中的土地市场,假设政府对所有的土地租金开始征收50%的税,注意对于建筑或新增设施不征税,因为征税会影响建设活动的规模。于是所征的税收系来自固定的农业和城市用地所带来的租金。
征税后人们对土地的总体需求并没有改变。在图14-2中,当价格(含税)为200美元时,人们仍然需求土地的全部固定供给。于是,由于土地供给是固定的,土地服务的市场租金(含税)也就完全不会变动,仍在初始的市场均衡点E。
那么,土地所有者得到的租金将会有何变化?由于需求和供给的数量并没有变化,所以市场价格不会受税收影响,于是税收完全是从土地所有者的收人中扣除的。
我们可以在图14-2看到这种情况,农场主付的钱和土地所有者收到的钱现在完全是两码事了。对土地所有者来说,当政府介人拿走50%的租金时,其效应与所有者的净需求从DD降到D'D'的影响一样。土地所有者税后的均衡收入现在只是E',仅相当于E的一半。税收全部由供给完全无弹性的要素的所有者承担。
土地所有者肯定会抱怨,但在完全竞争条件下,他们对此无能为力。因为他们不能改变土地的总供给,而且土地总得被用来获得些什么,得到半个面包总比没有面包要好。
此时,你可能想了解这种税收对经济效率的影响。令人吃惊的结果是,对租金征税不会引起扭曲或经济的无效率。这一惊人结果出现的原因是,对纯经济租金征收的税不会改变任何人的经济行为。需求者没有受到影响,因为他们的意愿价格没有改变;供给者的行为也没有受到影响,因为土地的供给是固定的,不可能做出反应。于是,税后的经济会同税前同样地运行,土地税没有带来扭曲或无效率。
对纯经济租金征税不会导致扭曲或无效率。
亨利•乔治的单一税运动
纯经济租金理论是19世纪后期单一税运动的基础。当时,由于世界各地的人都向美国移民,美国的人口迅速增长。随着人口的增长和铁路延伸到美国西部,地租飞涨,为那些幸运的或有远见的人带来了丰厚的利润,因为他们预先购买了土地。
有人问,为什么允许这些土地所有者获得那么多的非劳动所得的土地增值呢?一位对经济学进行过很多思考的记者亨利•乔治(1839~丨897),在其畅销书《贫困和进步》(1879年)里集中表达了这种情绪。他在书中建议,应当把对土地征收财产税作为政府融资的主要途径,同时削减或免除其他所有的对资本、劳动以及土地增值实施的征税。乔治认为,这种单一税收能够在不损害经济生产效率的情况下,改善收入分配。
尽管美国经济显然没有向单一税理念的方向走得太远,但乔治的许多见解得到了后来几代经济学家的重视。在20世纪20年代英国经济学家弗兰克•拉姆塞(FrankRamsey)通过分析不同种类税收的效率,发展了乔治的方法。这带来了效率原理(或拉姆塞原理)的发展。这种分析表明,当一个部门的供给或需求的。价格弹性非常小的时候,对其征税所导致的扭曲最小。
拉姆塞税收背后的推理与图14-2中所示基本一样,如果一种商品的供给或需求高度缺乏弹性,对该部门征税对于生产和消费将不会产生什么影响,所导致的扭曲将会非常小。

图14-2 对固定数量的土地征税完全由土地所有者承担,政府 取得纯经济租金
对土地征税并没有改变使用者在£点所支付的价格,但使土地所 有者的租金降到了 土地所有者除了接受更低的报酬之外还能做什么呢?这为亨利•乔治的单税运动提供了合理性。亨利•乔 治的单一税运动旨在不扭曲资源分配的基础上,使社会得到土地 价值增值的好处。
B.资本和利息
你的蛋糕完全可以既保留下来而又不影响食用:将它出借并收取利息即可。
——佚名
基本概念
经济分析传统上将生产要素分为三种:土地、劳动和资本。前两种叫做生产的初级或初始要素,其供给主要取决于市场以外的因素。现在我们再加上一个生产者生产出来的要素——资本。
资本(capital)或资本品(capitalgoods)包括那些生j产出来的耐用品,它们在进一步的生产中被作为生产性投人。有些资本品能连续使用几年,有些则可能持续使用一个世纪或更长。但资本品的基本特征是:它既是一种投人又是一种产出。
资本品主要有三类:建筑(如工厂和住宅)、设备(耐用消费品,如汽车;耐用生产设备,如机床和计算机)以及投入和产出的存货(如经销商的汽车存货)。
资本品的价格和租费
资本品在资本品市场上交易。例如,戴尔公司将计算机卖给各企业,这些计算机被企业用来提高工资支付系统:或生产管理的效率。在资本品的销售中,我们可以看到资本品的价格。
大多数资本品归使用它们的企业所有,但有些资本品1是由其所有者租借出去的。为暂时使用资本品所做的支付叫做租费(rentals)。房东可能将一套公寓租给一个学生使用一年——每月600美元的支付就构成了一项租费收人。我们要将固定要素(如土地)的租金收入与耐用要素(如资本)的租费区别开来。[ 3 ]
资本品的收益率
任何经济体、企业或家庭最重要的任务之一,都是将其资本在各种可能的投资之间进行分配。一国应将其资本投入到像钢铁这样的重型制造业,还是投人到像互联网这样的信息技术产业?英特尔应该建造一个价值40亿美元的工厂来生产下一代的微处理器吗?法默•琼斯想提高其财务水平,他应该购置专门按照客户特征设计的会计程序,还是直接花100美元从那些市面上流行的产品中挑选一个?这些问题都涉及到昂贵的投资——今天付出货币以取得未来的收益。
为了做出最佳投资决策,我们需要一种衡量资本报酬的标准。一个重要的指标是资本收益率(rateofreturnoncapital),即每1美元资本投人在1年中能够获取的净美元收益。
我们以某汽车出租公司为例。丑小鸭出租公司以10000美元的价格购买了一辆二手福特牌汽车,并以每年2500美元出租。计算所有费用(维修、保险和折旧4等)并忽略汽车价格变化,丑小鸭公司每年的净租费收人为1200美元。对此我们说,这辆福特汽车的年收益率为12%(1200美元+10000美元)。请注意,收益率是单位时间的一个纯粹的数字,也就是说它的计算方法是:(每一时期的美元)/(美元),通常按每年的百分比计算。
你可能会考虑各种不同的投资机会:出租汽车、油井、公寓、教育等等。你的财务顾问会说你没有足够的资金在每一方面都进行投资,那么你怎么决定进行哪些投资呢?
一个有效的方法就是比较各种投资的收益率。对每一种投资,你先要计算该资本品的成本,然后估算该资产能够带来的年净收益或这项资产的租费收人。年净租费收人与成本的比率就是资本收益率。它告诉你投资的每1美元给你带来的收益,这是根据每1美元投资每年能得到的美元数来衡量的。
资本收益率是每1美元投资的年净收益(租费收入减去费用)。它是一个纯数字——年百分比。
关子酒、树和钻并设备这是几个投资收益率的例子。
•我以10美元买了一些葡萄汁,一年之后酿成酒并以11美元卖出。如果没有其他费用,这次投资的收益率就是1美元/10美元,或年收益率为10%。
•以100美元的劳动成本种了1棵松树,25年后,长成的树以430美元出售,这项资本投资25年的收益率为330%,这相当于年收益率为6%;即总收益等于100美元x(1.06)25=430美元。
•我购买了一套价值2万美元的石油钻井设备,10年中它每年的租费收入为3万美元。但每年我的燃料、保险和维修支出的费用为2.6万美元。4000美元的净收益用于支付利息和对2万美元原始支付分期10年的偿还。钻井设备的收益率是多少?从统计数据表上看:年收益率是15%。
金融资产和有形资产
观察一个公司或个人的资产负债表,我们会发现其中既包括金融资产又包括有形资产。有形资产(tangibleas-sets)包括土地以及像计算机、建筑和汽车这样用来进一步生产商品和服务的资本品。我们必须把它们和金融资产区分开来,后者本质上就是一些纸张。更准确地说,金融资产(financialassets)是一方对另一方的货币要求权。例如,房屋抵押贷款就是银行对房屋所有者按月支付本金和利息的要求权,这些支付的钱款将用来偿还为买房所借的原始贷款。
通常,在抵押贷款的情况下,有形资产将作为一项金融资产的根据(或作为抵押品)。而在其他情况下,如学生贷款,金融资产则可以来自于以个人未来收人能力为基础的还款承诺。
人们都很清楚,有形资产是经济的重要组成部分,因为它们可以提高其他要素的生产率。而金融资产的作用又是什么呢?它们的重要性产生于储蓄者和投资者之间的不匹配。学生们需要钱来上大学,但他们现在没有收人或存款来支付这笔费用。而那些正在工作并为退休存钱的成年人,会有一些超过消费需要的收人可以提供给学生。金融体系机构众多,有银行、共同基金、保险公司和养老基金等,通常还有政府贷款和政府担保作为补充。通过它们可以把储蓄者的资金引向投资者。如果没有这种金融系统,企业就不能进行开发新产品所必需的大规模投资;人们不存够所有的房款,就不能买到房子;学生如果事先不存够必需的大笔学费,就不能上大学。美国金融系统的基本原则将在后面宏观经济学的章节中进行分析。
金融资产和利率
当人们储蓄时^所期待的是得到报酬,也就是利率(interestrate),或资金的金融收益,或贷出资金的年收益。你将钱存在商业银行的定期存款账户上所取得的收益就是利率的一个例子。假设2005年的年利率是5%,如果你在2005年1月1日存人1000美元,在2006年1月1日你将得到1050美元。
通常你可以看到,利率是以每年x%表示,这是一笔资金贷出去一年整会得到的利息;对于更短或更长的时期,利息支付会相应地按比例调整。
利率有很多种,有长期利率和短期利率,它依贷款或债券的期限长短而定;有固定利率的贷款和浮动利率的贷款;有高度安全的债券(如美国政府债券)的利率,也有高风险的“垃圾债券”的利率。
小结:
家庭和其他储蓄者将金融资源或资金提供给那些想投资于有形或无形资本品的人。利率代表债务人为其在一段时间内对货币的使用而向债权人支付的价格。利率是以每年的一定的百分比来表示的。
实际利率和名义利率
我们前面讨论的理论是以货币或名义单位衡量的,而不是以树、酒或汽车的单位衡量的。利率是以每1美元投资每年的美元收人来衡量的投资收益。但是,美元有时会成为扭曲的标准。由于一般价格水平会由于通货膨胀而上升,鱼、树、酒和其他商品的价格每年也都会有所变化,[ 5 ] 于是我们需要找到姿本的实际收益,一个衡量我们放弃现在的商品能得到的未来的商品量的标准。
例如,假设你1995年在一种俄罗斯债券中投资1000卢布。因为给你的利率是70%,你期待会有丰厚的收益,在年终应得到1700卢布。但后来你拿钱出去买消费品时,你发现在1995年间物价上涨了65%。以商品的实际数量计算,你能购买的商品只比年初能购买的多3%(1.030=1.70/1.65)。换句话说,如果在1995年初你借出了1000卢布按市价计算的商品,第二年你只能获得1030卢布按市价计算的商品。在高通货膨胀时期,实际利率和名义利率的差异尤为突出。
我们将资金的实际增值称为实际利率(realinterestrate),它与名义利率(nominalinterestrate)相对应,名义利率是以美元计价的投资所能得到的美元收益。在低利率和低通货膨胀时期,实际利率非常接近于名义利率减去通货膨胀率。[ 6 ]
实际利率是以商品和服务为单位计量的资金的收益,我们通常用名义利率减去通货膨胀率来计算实际利率。
表14-1所示为过去30年间各种不同的金融工具的名义利率(用公式,你可以得出实际利率,这一时期通货膨胀率平均为每年4%)。

表14-1 某些金融工具的利率
名义利率取决于风险、通货膨胀和税收待遇。免税的、安全的州 和地方政府的债券利率最低;纳税的联邦债券利率稍髙;信用卡 由于存在信用风险利率较高,但比较容易获得;从有主权风险和 高通货膨胀国家借人的外债的利率则要髙得多。
资料来源:Federal Reserve Board.
资产的现值
资本品是能在一定时期内产生一种租费流或收人流的耐用资产。如果你拥有一幢公寓楼,你会在其使用年限内收取租费,就像果园的主人每个季节都会从树上采摘果实一样。
假设你对拥有并管理一幢楼感到厌倦,并已经决定出售它。为了给楼确定一个合理的价格,你需要决定该楼的全部的未来收人流的现在价值。这些收人流的价值称为该项金融资产的现值。
现值(presentvalue)是下—个时期的收入流的现在的货币价值。它是这样计算的:在当前的利率下,计算出需要多少货币才能产生该项资产的未来的收入流。
让我们从一个非常简单的例子开始。假设有人要卖给你一瓶酒,酒味要在一年后才能变得纯正,那时你可以按11美元的价格出售。假定市场利率是每年10%,这瓶酒的现值是多少呢?你必须为这瓶酒付多少钱?你要付10:美元,因为在今天市场利率为10%的情况下,投资10美元在一年后将价值为11美元。所以,下一年11美元的酒在今天的价值是10美元。
永久性资产的现值
我们通过考查永久性资产的情况,给出现值的第一种计算方法。永久性资产是一种像土地一样的资产,可以一I直存在下去,每年支付7V美元,直到永远。我们现在要;找出现值如果年利率是;,那么现值就是每年收益恰\为iV美元的现在的投资的货币量。计算公式很简单:

这里:V=土地的现值(美元)
N美元=永久性资产的年收入(美元/年)
i小数表示的利率(比如,每年0.05或5/100)
这就是说,如果利率永远是每年5%,—个产生不变收入流的资产将以其年收人的20(=1+5/100)倍出售。在这种情况下,一个每年带来100美元收益的永久性资产的现值是多少?在5%的利率下,其现值为2000美元(=100美元+0.05)。
这个计算永久性资产现值的公式也可以用来对股票进^行估值。假定在未来无限期内,泉水公司可以为公司股东
每股分配1美元的股利,股票的折现率为每年5%。股票的价格就应该为每股20美元,即P=1美元/0.05=20美元(这些数字已经过通货膨胀调整,所以分子为“实际股利”,分母为“实际利率”或“实际折现率”)。
折现的一般公式
在考查了永久性资产这一简单例子后,我们现在转人更一般的情形,研究未来收人随时间变化的资产的现值。关于现值的一个要点是:未来的支付没有现在的支付值钱,所以相对现在来说它们应当被折现,就像远处的目标看起来比近处的目标要小一样。从时间的角度来看,利率也造成了类似的收缩。
让我们举个有点怪异的例子。[ 7 ] 假设有人建议在999年后你要支付给你的继承人1000亿美元,那么你今天要支付多少?根据现值的一般规则,要算出从现在起2年之后支付的P美元的现值,就得问问你自己,今天必须投资多少美元,在t年后才能生成P美元。假设利率为每年6%,据此计算每年的增长量,开始的P美元在《年后将生成美元。于是,我们只需将这个表达式反过来找出现值。从现在起t年后支付的P美元的现值只有P/(1+0.06)/美元。用这个公式,我们算出999年后支付的1000亿美元的现值是0.0000000000000052美元。
在大多数情况下,资产的收人流量中包括好几项内容。在现值计量中,每1美元都要按时间排好,首先,对未来收人流量的每一部分根据支付日期进行必要的贴现,计算出其现值,然后将各个现值加在一起,总额就是该项资产的现值。
现值V的准确公式如下:

在这个等式中,i是单期市场利率(假定为常数),
是第1期的净收人(可为正数也可为负数),
是第2期的净收入,
是第t期的净收人,依此类推。支付流量(
,
,…,
,…)根据上面给出的公式计算出的现值就是V。
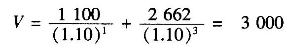
例如,假设年利率为10%,我明年将得到1100美元,3年后将得到2662美元这个流量的现值就是:

图14-3说明了一部机器的现值的计算。这部机器在20年内每年净租费为1〇〇美元,最后没有残值,它的现值不是2000美元而是1157美元。注意,由于时间因素,较晚年份的美元的币值是逐级递减或者说是被折现了的。折现后的全部面积(下面部分面积)代表了机器的总现值,即所有的未来收人流量的现时价值。

图14-3 —项资产的现值
图中下面的部分表示的是:在利率为每年6%时,一部20年中每 年支付100美元净租费的机器的现值。上面灰色的部分被折扣掉 了。解释为什么提高利率会使上面部分面积增大而资产的市场价 格减少。
使现值最大化
现值公式告诉我们,一旦知道了某项资产的收人,我们就可以计算出该资产的价值。但是不要忘记,一项资产的未来收人通常取决于经营决策:一辆卡车我们用8年还是用9年?是一年还是一个月彻底检修一次?是用一辆便宜的不耐用的卡车,还是用一辆价格昂贵的耐用的车?
有一条规则可以给所有的投资决策一个正确的答案:计算各种可能的决策所能带来的现值,依照使现值最大化的原则进行权衡。用这种方法,你将会有更多的财富,随便你用在哪里和如何花销。
利润
除工资、利息和租金之外,经济学家经常提到的第四种收人称为利润。什么是利润?一般来说,它们与利息和资本收益有什么不同呢?
申报利润统计
会计将利润(profit)定义为总收入和总成本之间的差额。要计算利润,先计算总销售收人,然后减去所有费用(工资、薪金、租金、材料、利息、消费税和其他支出),剩余的部分就称为利润。8
利润的决定因素
在市场经济中是什么因素决定公司的利润率?利润实际上是各种不同收益的组合,包括所有者的资本隐含收益、承担风险的回报和创新利润。[ 8 ]
作为膪含收益的利润对经济学家来说,企业利润是多种不同因素的聚合体。大多数申报的企业利润,基本上是企业所有者所提供的资本和劳动的报酬,即他们提供的生产要素的报酬。
例如,有些利润是企业所有者提供的个人工作的收人——如在小型事务所工作的医生或律师;有些利润是自己拥有的土地的租金收人;而在大公司里,大多数利润都是投人的资本的机会成本。这些收人称为隐含收益(成本),这是对企业所拥有的要素的机会成本的叫法。
这样,在平常我们称为利润的东西中,有一些实质上不过是租费、租金和工资的另一种名称。“隐含租费”、“隐含租金”和“隐含工资”是经济学家对企业自有要素的收益的称谓。
作为承担风验回报的利润利润也包括对承担投资风险的回报。大多数企业都要承担违约风险,这种风险在某项贷款或投资不能得到执行时发生,比如因为借款人破产。此外,还有许多可投保风险,如我们在第11章中所分析的那些情况,包括火灾和飓风。这些可以通过购买保险来加以解决。
第三种风险叫投资的不可投保风险或系统风险。一个公司可能对商业周期高度敏感,这意味着它的收人会随着产出的波动而起伏。第四种风险叫政权风险(sovereignrisk),指的是政府不履行其承诺,并且(因为政府既是当权者又拥有司法终审权)没有相应的法律可据以追索。
公司利润是国民收人中一个最不稳定的组成部分,因为它包含了上述四种风险。当企业无法通过多元化投资或投保来消除风险时,公司的股票或股权就需要一个可观的风险溢价才能吸引规避风险的投资者。这一用以抵补投资风险的股权的额外回报,称为股权溢价(equityjpremium)。
经验研究表明,在20世纪,平均每年的股权溢价大约在6%左右。然而,在20世纪90年代末股票市场泡沫时期,股权溢价几乎下降到零。这就意味着股票期权的收益率也会相对较低。2000年以来股票市场业绩低劣意味着股权投资的确是一项风险高的投资。
作为创新报酬的利润第三种利润是创新和发明的收益。不断增长的经济会不断创造出新的产品——从19世纪的电话到20世纪初的汽车,再到现代与计算机相关的产品和服务。这些新产品是研究、开发和市场营销的产物,我:们称那些将新产品、新工艺带人市场的人为创新者或企业家。
所谓的“创新者”是指什么?创新者是那些有远见、有个性和有魄力的,能够将新观念带入商业中的人。亚历山大•格雷厄姆•贝尔(电话)、杰克•凯尔比(集成电路),和凯瑞•穆里斯(聚合酶链反应)等,这些伟大发明家的发明给我们的经济带来了巨大的变革。一些发明家还借助:其企业家精神积聚了大量的财富。在最近一次对世界最富:的人的排名中,我们发现排名的前四位中有三位是微软公司的创始人。
每一项成功的创新都造成了暂时性的垄断。我们可将;创新利润(有时称为熊彼特利润)视为创新者或企业家的暂时性超额收人。在短时期内,他们能获取创新利润。但i这些利润是暂时性的,很快就会由于竞争者和模仿者的出现而消失。而当一种创新利润的源泉消失之时,另一种又将诞生。只要经济不断出现新的产品和新工艺流程,创新利润总是会存在。
复习
在应用以上概念之前,不妨复习一下:
•一个现代工业化经济积累了大量的资本或资本品,包括对生产效率非常重要的机器、建筑和存货。
•资本的年货币收人称为租费,当我们用产生租费的资本的货币价值去除收益(租费减去成本)时,我们就得到资本收益率(以每年的百分比表示)。
•资本由那些出借资金和持有金融资产的储蓄者提供。金融资产的货币收益叫做利率,以每年的百分比表。
•资本品和金融资产在一段时间内产生收人流。这种收人流可以转换成现值,即这个收人流在今天的价值。进行这种转化,就要问现在需要多少数量的货币,才足以使这项资产能按现行利率产生所预期的收人流。
•利润是个留存收益项目,等于总收人减去总成本。利润包括隐含收益(如所有者资本的收益)、承担风险的收益,以及创新利润。
资本和利息的理论
我们已经学习了基本的概念,下面我们转人分析古典资本理论。这种分析方法是由奥地利人庞•巴维克(E.V.Bohm-Bawerk)、瑞典人克纳特•维克塞尔(Knut Wicksell)和美国人欧文•费雪各自独立地创建并提出来的。
迂回性
在第2章,我们注意到对资本品的投资会导致间接的或迂回的生产。开始我们用手抓鱼,但最终我们发现,先造渔船和编织渔网、再用渔船和渔网来捕鱼会更加划算,因为那样比用手能捕到更多的鱼。
换言之,投资于资本品涉及到牺牲现在的消费以增加今后的消费。减少今天的消费可以释放现在的劳动用来编织渔网,以便今后能捕到更多的鱼。就最一般的意义而言,资本是生产性的,因为所放弃的今天的消费能在未来获得更多的消费。
为理解这一点,我们假设有两个完全相同的小岛,每个岛都拥有相同数量的劳动和自然资源。A岛直接用原始的基本要素生产食物和衣服等消费品,不使用任何生产出来的资本品。而B岛就比较节省,它牺牲了现在的消费,用节省下来的资源和劳动生产了一些资本品,如犁、锹和织布机。在这样暂时牺牲了现在的消费之后,B岛就有了大量的资本品。
图14-4说明了B岛的经济如何走在A岛的前面。计算每个岛在维持现有资本存量条件下人均占有的消费量。B岛由于节省并使用了迂回的资本密集型的生产方式,享有的未来消费量就要比A岛多。B岛由于其初始牺牲的100单位现时消费,而可以获得多于100单位的未来消费。
通过牺牲现在消费并生产资本品,社会可以提高其未来的消费量。

图14-4 今天的投资产生未来的消费
两个岛屿最初劳动和自然资源的禀赋相同。A岛比较懒惰,不进 行任何投资,其人均消费增长缓慢。节俭的B岛在开始的一段时 期放弃了一些消费进行投资,而在未来享有了更多的消费。
收益递减和对资本的需求
当一个国家越来越多地牺牲其消费以积累资本,生产变得越来越迂回或间接时,会发生什么样的情况呢?我们发现:边际收益递减规律将会起作用。以计算机为例,最初的计算机很昂贵,使用强度很高。30年前,科学家们都致力于提高计算机主板的耐用程度,当时那些小型主机的功能还比不上现在的个人电脑。到2004年,全美国计算机的计算和存储能力比那时增长了百万倍以上。但是,当计算机投资相对快于劳动、土地和其他投资的增长时,计算机功能的边际产品(存储器的最后一次运算和最后一个字节的存储空间)的价值会大幅下降。推而广之,随着资本积累的增加,收益的递减规律就会开始起作用,投资的收益率就会开始下降。
令人惊讶的是,在过去的两个世纪,尽管我们的资本存量增长了许多倍,但资本的收益率却并没有大幅下降,它一直保持在较高的水平。这是因为,创新和技术变革创造新盈利机会的速度,与旧有投资抹杀新机会的速度同样地快捷。尽管计算机比30年前功能强大了成千上万倍,但它在社会的每个角落的新用途(从医疗诊断到电子商务)都使得继续对计算机投资仍然有利可图。
欧文•费雪:锐意改革的经济学家
欧文•费雪(IrvingFisher,1867~1947年)是一位多才多艺的天才和改革者。他的开创性的经济学研究,既包括关于效用基础理论的研究,又包括对商业周期、物价指数和货币改革方面的资本理论和现实问题的探讨。
他的基本贡献之一,是在《资本和收入的性质》(The Nature of Capital and Income,1906年)和《利息理论》(The Theory of Interest, 1907年)中提出了关于资本和利息的一套完整的理论。费雪描述了利率和其他不可量化的经济要素之间的相互作用。然而,费雪说明了利率的两个支点:表现为“时间贴现”(time discounting)的不耐烦和表现为“边际成本收益率”的投资机会。费雪还首先揭示了利息、资本和经济之间的内在关系,他在《利息理论》的综述中这样写道:
事实上,利率不仅只是用在商业合同上,它还渗透在所有的经济关系中。它是将人们与未来联系起来的纽带,是人们做出长远决策的依据。利息通常会影响证券、土地和资本品的价格,也会影响租金、工资和所有的“相对”价格。利息还对财富的分配有着深远的影响。简言之,所有关于交换和分配的合约的公平性都有赖于利率做精确的调整。
费雪的研究一直致力于实证应用。他的追求经由计量经济学学会而得以实现。该学会是在他的倡导下创建的,旨在促进“经济理论与统计学和数学进一步密切结合,理论数量方法和实证数置方法进一步结合”。
除了纯经济学方面的研究,费雪在日常生活中也是一个改革者。他曾游说国会用“补偿美元”(compensated dollar)取代金本位制。他曾因自己感染了肺结核而成了一名健康促进人士,并竟然成了“个人卫生15条准则”的热情倡导者:其中包括许多硬性规史和特殊要求,例如,必须咀嚼100下之后方可吞咽。据传闻,由于既没有酒而又要求客人细嚼慢咽,结果是,费雪家的宴会在纽黑文市是很难活跃气氛的。
1929年,费雪做出了他最著名的一次预测,他认为股票已经进了“繁荣后的持久平稳期”。他按照自己的预测来运作自己的资金,结果在大萧条期间他损失了自己大量的财产。
尽管费雪的金融才干颇受质疑,但他的经济学遗产却为后人发扬光大,使他成了美国有史以来公认的最伟大的经济学家之一。
利息决定和资本收益
我们可以用古典的资本理论来理解利率是如何决定的。家庭通过在一定时期内抑制消费和积累储蓄为投资供给资金。同时,企业需要资本品与劳动、土地和其他投人要素相配合。从根本上说,企业的资本需求是受其生产商品从而获得利润的欲望驱使的。
我们也可以看看欧文•费雪在20世纪初所做的解释:
资本的数量和收益率由以下两个相互作用的因素来决定:(1)人们没有耐心为了等待将来的消费(也许是因为退休,或俗语所说的未雨绸繆之类)而去节约和积累更多的资本品,而是很容易趋向于即时消费;(2)给所积累的资本带来或高或低的收益的各种投资机会。
为理解利率和资本收益率,我们现在考虑完全竞争的、没有风险和通货膨胀的、理想的封闭经济。为决定是否投资,追求利润最大化的企业总会将其资金的成本与ft本收益率进行比较。如果收益率高于企业能借到的资金的市场利率,它就会从事这项投资;如果利率高于投资的回报率,企业就不会投资。
这种过程会持续到什么时候呢?企业逐渐会就所有收益率高于市场利率的机会进行投资。在现有的利率水平上,当企业意愿投资的量等于此利率可以引致的储蓄的量的时候,就会达到均衡状态。
在没有风险和通货膨胀的竞争经济中,资本的市场收益率会等于市场利率。市场利率起到两个作用:它将稀缺的资本品分配到具有最高收益的用途中去;它还引导人们牺牲现时消费以提高资本存量。
资本收益图表分析
我们可以分析一个简单的例子来说明资本理论,在该例中,所有的实物资本品都相同。此外,我们还假设经济处于一个没有人口增长或技术变革的稳定状态中。
如图14-5所示,DD是资本存量需求曲线;它表示资本的需求数量与收益率之间的关系。请回忆第12章介绍过的内容,像资本这样的要素需求是一种派生需求一需求来自于资本的边际产品,即追加资本所能带来的那种新增产出。
投资的收益递减规律可由图14-5中资本需求曲线的斜率来体现,斜率为负。当资本非常稀缺时,最有利可图的迂回项目的收益率很高。逐渐地,人们就会积累资本以便从所有这些高收益项目中获利,在总劳动和土地固定的情况下,收益逐渐递减。于是人们开始不得不投资于收益较低的项目,在图中这种行为表现为沿着需求曲线逐渐下滑。
短期均衡我们现在可以看出供给和需求如何相互作用。在图14-5中,过去的投资产生了一个既定的资本存量,在图中为垂直的短期供给曲线SS。企业对资本品的需求,如图中向右下倾斜的需求曲线DD所示。
在供给和需求的交点E上,资本正好全部分配给有需求的企业。在这种短期均衡下,企业愿意按年利率10%借款以购置资本品。在该点,资金贷出人也正好满足于按照10%的年利率来供应资金。
这样,在我们这个简单、无风险的世界里,资本的回报率正好等于市场利率。任何较高的利率都会使企业不愿借钱进行投资;任何较低的利率会使企业抢购过于短缺的资本;只有在10%的均衡利率下,供给和需求才是均衡的(这正好是实际利率,B为这里没有通货膨胀)。
但是在£点达到的均衡只在短期内是持续的,在这个高利率上,人们愿意积累更多财富,即继续储蓄。这意味着资本存量会增加。但由于边际收益递减规律,收益率和利率会下降。当资本增加而其他投入如劳动、土地和技术不变时,增加的资本品存量的收益率就会降低。
这一过程见图14-6。注意资本的形成是从E点开始的。所以,由于每一年都有净投资,资本存量都比上一年多一点。随着时间推移,人们逐渐沿着曲线向下移动,如图14-6中箭头所示。图中可见到一系列非常细的资本供给曲线S,S',S",……这些曲线表示短期资本的供给如何随资本的累积而增加。
长期均衡长期均衡时的资本回报率和资本存量是多少?
均衡逐渐出现在图14-6中的E'点,正好是资本的长期供给曲线(图中为
)与资本需求曲线的交点。当利率降到企业拥有的意愿存量与人们所愿提供的财富数量相当时,就达到了长期均衡。在长期均衡点上,净储蓄停止了,净资本积累为零,资本存量不再增加。
当人们愿意持有的资产价值与企业生产所需的资本量恰好相等时,在这一实际利率上,资本存量就达到了长期均衡。

图14-5 利息和收益的短期决定
短期内经济从过去继承了一定的资本存量,图中表示为垂直的SS资本供给曲线。短期供给曲线与资本需求曲线的交点决定了 短期资本收益及短期实际利率,每年10%。

图14-6 资本供求的长期均衡
在长期中社会积聚了资本,所以供给曲线不再是垂直的了。如图所示,财富和资本的供给对于更高的 利率做出反应。在初始短期均衡点存在净投资,所以经济按图中箭头方向沿需求曲线DD移动。 在E'点净储蓄为零,达到了长期均衡。
古典资本理论的应用
我们已经完成了对古典利息和资本的考査。但资本理论需要加入一些扩大和限制条件才能去解释经济生活中重要的现实特征。
税收和通货膨胀
投资者总是密切地关注通货膨胀。回忆一下,通货膨胀能减少你手中的钱所能购买的商品数量。因此,我们想计算出实际利率或投资的实际收益,这需要剔除货币价值变动效应。另一个重要特征是税收。我们收入的一部分转给政府,用以支持公共品和其他的政府项目。所以,投资者关注的是投资的税后收益。
技术推动
技术变革会加深问题的复杂性。历史研究表明,发明和创新提高了资本收益,从而会影响均衡利率。由收益递减导致的利率下降趋势的确可以被发明和技术的进步所抵消。
一些经济学家(如约瑟夫•熊彼特)曾将投资过程与小提琴的拨弦相比。在一个没有技术变革的世界里,资本积累会降低资本收益,恰如琴弦会逐渐地停止振动。但在经济进人稳定状态以前,外部事件或发明的出现将拨动“琴弦”,使投资因素重新活跃起来。
不确定性和预期
最后一个问题是投资决策本身所存在的风险。现实生活中,没人拥有“预知未来的水晶球”。所有投资都建立在对未来收益的估计上面,因此必须猜测未来的成本和结果。我们的讨论假定不存在风险。但事实上,几乎所有的贷款和投资都存在风险因素:设备可能损坏,油井可能原本就是一个干洞,你最喜欢的网络公司可能会濒于破产,等等。每一项投资的风险程度不同,但还没有哪一项投资是完全没有风险的。
投资者一般不愿意持有风险资产。他们宁愿持有一种能确定地具有10%收益的资产,而不愿持有一半可能有20%的收益但也有一半可能没有收益的资产。为引导投资者进行具有高系统性风险或不可投保风险的投资,有必要让他们获得额外收益,或称风险溢价。
实证发现
劳动和资本的收益
图14-7的最终比较表明了在最近的40年里,美国的劳动和资本的收益率的变动趋势。我们看到在20世纪70:年代末之前,实际工资(指根据消费品价格变化进行调整后的美元工资)一直在上涨,之后的20年基本保持不变。资本的税前利润率在60年代中期达到顶峰,之后就一直在下降,在接下来的30年资本的平均利润率保持在每年平均8%左右。
尽管在90年代末,技术革新和生产率增长再次高涨,但资本利润率实际上在下降。这个最新的趋势表明,在新经济时期,企业家在很大程度上没能实现将创新活动所增加的社会收益分配归为己有。
关于要素价格、效率和分配问题的结束语
经济学家强调,一个能够让资本和土地自由流动的市场势必能够促进储蓄和投资快速增长,加速经济和带动劳动生产率的良性增长。然而也有许多人士对于自由市场忧心忡忡,认为它也会导致富者愈富,而穷人则会被远远地抛在后面。关于这些争论,我们不妨在此提供下列三个观点:
1.自由市场能促进效率。人们的市场收人取决于租金、利息和工资。我们可能喜欢也可能不喜欢竞争性的收人分配,但我们必须认到,竞争性定价解决了产品如何以一种有效率的方式进行生产的问题。合理的价格对生产过程中确保投人品的有效选择至关重要。
不妨举例说明:土地和劳动在不同的国家和地区中如何以不同的比重结合在一起。美国土地辽阔而劳动稀缺,中国香港土地宝贵而劳动丰富。作为供求的结果,美国的工资比地租高,而中国香港的情况恰恰相反。由于要素价格传递了相对的稀缺度,市场便确保有效的土地一劳动组合被应用于生产过程中。美国拥有大型的农场,并集约型地使用劳动力;而中国香港的土地只用于工业和住房建设,并不发展土地密集型的农业。
2.资本市场能够平衡储蓄和投资。在考查利润时,人们通常都注意分析该企业准备支付给管理者和股东的美元。这种分析方式难免会忽视资本在市场经济中的最基本的作用。资本的积累及其收益取决于两种基本力量:一方面,资本的需求源自这样一个事实——间接的或迂回的方式是富有生产性的,通过抑制今天的消费,社会能获得更多的未来消费。另一方面,为了积累金融资产,借款给进行生产性投资的公司来进行迂回的生产,人们必须愿意节制消费。技术和“不耐烦”这两种力量通过利率达到平衡,从而能确保社会的资本积累水平与人们以储蓄形式削减的消费水平相匹配。
3.政府能减少不公平而又不会损害效率。最后,我们应该记住:工资、地租、利息、利润并非由花岗岩雕刻而成,它们会受政府政策的制约,收人分配也会受到转移支付的调整。如果社会厌恶高地租或令人吃惊的高工资所带来的不平等,那么对这些要素征税将能够在不严重损害效率的情况下减小这种不平等。针对高收人和遗产而精心设计的税收,可以对低工资劳工有效率地进行工资补贴,还可以通过转移支付项目帮助那些确需帮助的人,这些都会减少市场经济中最严重的不公平状况。而所有这些并不会损害要素价格引导市场进行有效分配的能力。
一国如果有精心设计的税制和转移支付项目,那么它就会拥有一块不断增长的劳动生产率的蛋糕,并能在它的国民中进行更为公平的分配。
以上我们对劳动、土地和资本的经济学概览,已经包括了微观经济分析的精髓和核心。在本章附录中,我们还会加深对这方面的理解并进人更前沿的地带。附录将考查所有市场的综合行为(一般均衡),并研究产品和要素市场的效率。掌握了前几章的新知识,可以让我们开始学习微观经济学第四编的综合性研究内容。这些章节将使用我们已经学到的基础工具,分析国际贸易结构、政府职能,讨论不公平竞争和环境恶化等方面的问题。

图14-7 美国的工资和利润的发展趋势
劳动和资本的收益近年来是如何变化的?实际工资在二战后急剧增长,在20世纪70年代中期放慢了速 度,到90年代中期又恢复增长态势。美国企业资本的税前利润率在60年代中期达到顶峰之后,就开 始下滑,在接下来的30年基本保持在8%左右。
资料来源:U.S. Department of Commerce and Labor.
总结提要
A.土地和租金
1.像土地这样的固定要素的收益被称作纯经济租金,或简称租金。由于土地的供给曲线是垂直的且完全无弹性,所以租金是价格给定型的,而不是价格决定型的。
2.像土地这种供给无弹性的要素,即使在其要素回报被减少的时候也会继续提供相同的数量。正是因为这个原因,亨利•乔治曾经指出,租金的本质是剩余,而不是用以引导要素努力的那种必需的报酬。这为他提出的对土地的自然增值征收单一税的建议提供了依据。这种税不会转嫁给消费者,也不会扭曲生产。现代税收理论进一步拓展了这一见解,认为对供给或需求弹性比较小的物品征税,可以实现效率损失的最小化。
B.资本和利息
3.第三种生产要素是资本,即能进一步用于生产过程的耐用制成品。最为一般地讲,进行资本投资所意味的是推迟消费。社会通过推迟当前消费来建造厂房或设备,以增加未来的消费。一个技术性的事实是,迂回的生产能获得好的收益率。
4.回忆下列定义:
资本品:用于进一步生产的耐用制成品。
租费:资本品的年净货币收益。
资本收益率:资本的年净收益与资本的货币价值之比(以每年的百分比衡量)。
利率:资金收益,以每年的百分比衡量。
实际利率:剔除通货膨胀因素后的资金收益,也以每年的百分比衡量。
现值:由某项资本产生的未来收入流的当前价值。利润:剩余收人部分,等于收人与成本之差。
5.资产在未来会产生收人流。通过折现,我们可以把收人流转换为今天的货币价值。转换的方法是,找出愿意按既定市场利率进行投资的货币的数量,该数量的货币可以在未来产生同样的收入流。
6.精确的折现公式如下:t年后可得到的每1单位货币收人的现值V是1美元/(l+i)
,因此,对任何净收人流(
,
,…,
,…),我们有:

其中况
是未来t年收人的货币价值。
7.利率这一因素在经济中可以起到两个方面的作用。作为驱动因素,它刺激人们储蓄和积累财富。作为配给因素,它使社会仅选择那些收益率最高的投资项目。然而,随着资本越来越多地积累起来,在边际收益递减规律的作用下,资本的收益率和利率都会由于竞争而降低。下降的利率对社会来说是一个信号,它表明社会采用了收益率更低、资本密集程度更高的项目。
8.储蓄和投资所涉及的是未来消费,而非今天的消费。这种节省与资本的净生产率相互作用,决定着利率、资本的收益率和资本存量。用来购买资本的资金或金融资产,是由那些愿意牺牲当前消费以换取未来更多消费的居民户所提供的。资本需求来自那些有多种迂回投资项目的公司。在长期均衡中,利率是由资本的净生产率和居民户为未来消费而牺牲当前消费的意愿这二者之间的互动情况所决定的。
9.古典资本理论的重要特征包括:技术变革改变资本生产率;不完善的预测意味着资本的收益是高度不确定的;投资者必须考虑税收和通货膨胀的影响。
10.利润是收人减去成本之差。申报的企业利润主要是公司所得部分。简单地说,我们可以区分三类利润:(a)利润的一个重要来源是隐含收益。公司通常拥有许多自己的非劳动生产要素——资本、自然资源和专利。在这种情形下,不付费的或启己拥有的投人的隐含收益就构成利润的一个部分。(b)另一个利润的来源是无法规避的风险,尤其与商业周期和政权风险有关。(c)最后,引人新产品或创新的企业家可以获得创新利润。
概念复习
土地
租金
土地的无弹性供给
固定要素的税收
亨利·乔治的“单一税制”
资本和利息
资本,资本品
有形资产和金融资产
租费,资本收益率,利率,利润
抑制消费以进行投资
实际利率和名义利率
现值
利率决定中的两个因素:迂回性收益和不耐烦
利润的来源:隐含收益,不可投保风险,创新
补充读物和互联网站
补充读物
The foundations of capital theory were laid by Irving Fisher,The Theory of Interest (Macmillan,New York,1930).The theory of rent was developed by David Ricardo in Principles of Political Economy and Taxation (1819,various publish-ers).
Modern capital and finance theories are very popular sub-jects,often covered in the macroeconomics part of an intro-ductory course or in special courses.Good books on the subjectare Burton Malkiel,A Random Walk Down Wall Street (Norton,New York,2000),and Lawrence S.Ritter,William L.Silber,and Gregory F.Udell,Principles of Mon-ey,Banking,and Financial Markets,10th ed.(Addison Wesley Longman,New York,1999).Jeremy Siegel and Peter Bernstein,Stocks for the Long Run(McGraw-Hill,New York,2002)has lots of interesting tables and graphs.A recent book surveying financial history and theory is Robert Shiller,Irrational Exuberance (Princeton University Press,Princeton,N.J.,2000).
互联网站
Data on financial markets are plentiful.See finance,yahoo,com for anentry point into sock and bond markets as well as information on individual companies.Also see www.bloomberg.com forup-to-date financial information.Data on financial markets are also produced by the Federal Re-serve System at
www.federalreserve.gov.The lives and patents of great inventors can be found at www.invent.org/index.asp.
问题讨论
1.定义“纯经济租金”。
a.说明能取得租金收人的要素的供给增加,会减少其租金,并降低大量使用该要素生产的商品的价格。
b.用租金理论解释下面的论点:“玉米地的价格高并不是因为土地的价格高。反过来说更接近事实:玉米地的价格高是因为玉米的价格高”。请用图示说明。
c.考虑b引用的论点,为什么对于作为一个整体的市场来说它是正确的,但对于单个农场主却并不正确,请解释这里的合成谬误。
2.计算下列收人的的现值,其中=未来t年的收入,为年固定利率,用百分比来表示。如果计算结果不是整数请精确到小数点后两位。
a.
=10,
=110,
=133.1;=10
b.
=17,
=21,
=33.08,
=23.15;i=5
c.
=0,
=12,
=12,
=12; ……;i=5
请计算表14-1中各种金融工具的实际利率,设年通货膨胀率为4%。
4.比较耐用资产的四种收人:(a)土地租金;(b)资本品的租费;(c)资本品的收益率;(d)实际利率。各举一例。
5.应用利息的供给和需求的分析,解释在资本理论中下列事件将如何影响利率?
a.—项创新使资本在每一级水平的边际产品都增加。
b.居民户想要持有的财富量减少。
c.对资本报酬征收50%的税(在短期和长期)。
6.请看图14-5和图14-6,回忆经济如何从每年10%的短期均衡利率移向长期的均衡,解释如果技术变革导致资本需求曲线上移,在长期和短期内会发生什么情况。如果政府的债务变得非常巨大,人们资本供给的很大一部分被吸收到政府债务中去,又会出现什么情况?
7.解释一项永久性收人流的折现公式。贴现率为5%时,一项每年带来100美元的永久性收入价值多少?每年带来200美元的呢?每年带来W美元的呢?贴现率为10%或8%时,一项每年带来100美元的永久性收人价值多少_?利率翻倍对于一项永久性收人(比如永久性债券)的资本价值有何影响?
8.请回忆收敛几何级数的代数公式:
1+K+
+……=
在任何时候K都小于1。如果设K=1/(1+0)i,你能否证明永久性收人的折现公式:V=N美元/??请运用常识给出另一种证明。如果一张彩票以6%的利率每年向你和你的继承人支付5000美元,则它的现值是多少?
9.曼哈顿的土地在2003年约值800亿美元,假设现在是1626年,你是想购买曼哈顿土地的荷兰人的经济顾问,并假设计算现值时,相应的利率是每年4%。你认为24美元的购买价是一笔好交易吗?如果利率是6%、8%,你的答案会如何变化?(提示:对每一利率,按2003年的地价推算土地在1626年的现值,然后将它与当年那个购买价相比较。)
10.利率的提高往往会带来资产价值的下跌。为了证明这个结论,请计算下面两项资产的现值,令年利率分别为5%、10%、20%:
a.每年100美元的永久性收人。
b.—年以后可以卖50美元的一棵圣诞树。
请解释为什么长期资产的价格对利率变动的敏感性要高于短期资产。
注:
[ 1 ] 有时候自然资源包括在土地资源里,我们把自然资源经济学的分析推迟到第18章进行。
[ 2 ] 永远记住,在经济学中,“租金”的概念有一个特殊而具体的用途,即反映对固定供给要素的支付。而在日常生活中,这一概念还有许多其他的含义,如对租用公寓或建筑物的支付。
[ 3 ] 请注意上面注释2中的关于“租金”的经济学含义的提示,对“租费”也有相似的提示。
[ 4 ] 折旧是指对资本品由于一段时间的磨损和报废造成的货币价值的损失的估计。
[ 5 ] 通货膨胀率是指一个时期到下一个时期的价格变化率。如果2000年的一般价格水平是100,而2001年的一般价格水平是103.5,那么通货膨胀率就是每年3.5%。
[ 6 ] 换句话说,令
为通货膨胀率,i为名义利率,r为实际利率。计算实际利率的准确公式是:1+r=(1+i)/(I+
)。而当t和
很小时,r=i-
。
[ 7 ] 本章后面的习题9就提出这样一个问题,如果曼哈顿这块地皮被荷兰购买的话,它的现值是多少?
[ 8 ] 在分析利润时,区分企业利润和经济利润十分重要。企业利润(也叫企业收益或企业盈利)是会计计算出来的剩余收益,等于销售收人减去成本。企业利润包括企业所有资本的隐含收益。经济利润是减去所有成本(货币成本与隐含成本或机会成本)后的收益。所以在大公司中,经济利润等于企业利润减去企业自有资本的隐含收益,以及其他所有不能按市场价格得到充分补偿的成本(如未获支付的管理时间等)。