1
心电图学
1.6.1.5.1 第一节 常用导联

第一节 常用导联

一、标准导联

标准导联是双极导联的一种。从1903年Einthoven创建了心电图,直至40年代Wilsonil提倡“单极导联”之前,心电图记录均采用Einthven的导联体系,此导联体系习惯上称为“标准导联”。然而,所谓的“标准”并不是说它比其他导联科学、准确。

(一)导联连接方式(图5-1)

1.标准第1导联(Ⅰ、L1) 左上肢接心电图机导线的正极,右上肢接负极,反映两上肢电位之差。当左上肢电位高于右上肢电位时,描出向上的波形,反之则向下。

2.标准第2导联(Ⅱ、L2) 左下肢接心电图机导线的正极,右上肢接负极,反映左下肢与右上肢电位之差,当左下肢电位高于右下肢时描出的波形向上,反之则向下。

3.标准第3导联(Ⅲ、L3) 左下肢接心电图机导线的正极,左上肢接负极。反映左下肢与左上肢电位之差,当左下肢电位高于上肢电位时,描出的波形向上,反之则向下。

img74

图5-1 标准导联连接方式示意图

实线代表正极连线;虚线代表负极连线

二、Einthoven定律

关于三个标准导联的相互关系假定如下:

1.心脏在运动过程中,犹如体内一对电偶在活动。

2.人体可以看做近于圆形的容积导体,体液及各器官组织具有相等的电阻性能。

3.三个导联的三条边组成一个等边三角形。

4.心脏恰好位于等边三角形的中心点,均在一个额面平面上。

根据等边三角形几何原理,可以从任何两个标准导联上测得电位差来计算共电偶的方向、大小,即心电向量成为早期临床心电学的理论基础。

Einthoven定律是由下列实际情况计算出来的:用R、L、F分别代表右上肢、左上肢及左下肢,V代表电压的数值。

把VF-VR=Ⅱ代入上式内即得:Ⅰ+Ⅲ=Ⅱ

已知:Ⅰ导联=VL-VR,Ⅱ导联=VF-VR,Ⅲ导联=VF-VL

img75

以上公式称为Einthoven定律。在同步多导联记录,Ⅰ导联+Ⅲ导联的电压=Ⅱ导联电压。在少数情况下测得的结果也不一定符合上述的公式,这可能是由于三个导联并非在同一时间描记,因同一向量不在同一时间出现而影响计算的缘故。Einthove定律的实际意义在于核对导联连接或标记有无差错。

二、加压肢体导联

人体表面的任何一个点,都有一定的电位变化,因此,双极导联所记录下的波形反映了人体表面上两点之间的电位差,而不能单纯地反映电极下那一点心肌的电位。40年代,Willson在实验动物的心脏外膜上放一个电极,称为“探查电极”。他应用这种导联的目的是想通过这种导联体系直接记录探查电极下那一部位的心电变化,从而确切地了解心肌的局部病变。应用这种导联方式记录出来的心电图,称为“直接单极导联心电图”。可是在临床工作中,这种电极板直接放在心肌表面的方法是绝对行不通的。因此,Wilson又继续从事他的动物研究,把探查电极隔着胸壁安放在与直接导联相应的位置上,发现描记出来的心电图,除了由于“探查电极”距心肌较远而波幅较小外,其波形与直接导联心电图极为相似,并称这种导联为“半直接导联”。为了消除肢体电位对心电图图形的影响,根据Einthoven的学说发展了一个“中心电端”,即把安放在两上肢及左下肢的三个电极互相连通。为了避免各肢体导联电极板与皮肤间电阻差异的影响,便在每条导联线上附加了一个5000欧姆的电阻(图5-2)。当心肌激动时,中心电站的电位接近于零,因而可以看做是一个无干电极。应用这个中心电端,将心电图机的正极接探查电极,这便成为40年代之后应用的单极导联。

img76

图5-2 中心电端的组成

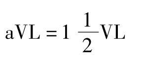
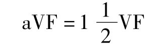
将探查电极分别置于右上肢、左上肢和左下肢,并与心电图机的正极相连,将中心电端与心电图机的负极相连,便成为单极肢体导联。根据探查电位安放的部位,分别称为右上肢单极导联(VR)、左上肢单极导联(VL)及左下肢单极导联(VF)(图5-3)。由于单极肢体导联电极远离心脏而电位较小,记录的波形振幅亦小,影响了临床心电波形,Goldberger创用了加压单极肢体导联的方法,即在描记某一个肢体的单极导联心电图时,将那个肢体与中心端的连线截断(图5-4),例如探查电极与右上肢连接时,无干电极仅连接左上肢与右上肢,这个导联称为右上肢加压单极肢体导联(用aVR代表);探查电极与左上肢连接时,无干电极与右上肢、左下肢连接,称为左上肢加压单极肢体导联(用aVL代表);探查电极与左下肢导联连接时,无干电极与右上肢、右上肢连接称为左下肢加压单极肢(用aVF代表);应用加压单极肢体导联时,无干电极只连于两个肢体,换言之“中心电端”只连于三个肢体中的两个,其电位不可能仍然保持为零。但是这种连线法并不影响加压单极肢体导联的“单极”性质,而仅仅使电位比原来的振幅高出1/2,可以由下列公式证实,VL、VR、VF代表三个肢体的普通单极肢体导联:

img77

图5-3 单极肢体导联连接方式

img78

图5-4 加压单极肢体导联连接方式

aVR导联是测量右肩电位与左肩、右足平均电位差。

img79

根据三角形学说:VR+VL+VF=0 (式2)

img80(式3)

将公式(1)代入此公式内,则可改为:

img81

同理:img82

img83

由式4可以看出,描记aVR时,Goldberger的“无干电极”虽已有一定的电位,但aVR与VR比较,aVR只有量的差别而无性质上的差别,也就是说加压单极肢体导联接近于临床心电图的工作实践。因此,自40年代以来,加压单极肢体导联得到了广泛的应用。

单极导联的意义在于能单纯地记录出探查电极下那一部分心肌的电位活动,对心肌梗死的定位诊断等有很大帮助。aVR导联面对右心室腔,反映了右心腔的电位变化;aVL导联面向左心室高侧壁,可以反映出高侧壁的心电变化;aVF导联面对下壁,可以反映下壁心肌的电位变化。下面将要介绍的单极心前导联V1~V5则反映了心室间隔部至侧壁电活动情况。

从心电向量的观点看,单极的观点有一定的片面性,确切的说,一切导联都是双极导联。

三、胸壁导联

自30~40年代,Willson倡用六个导联的“单极心前导联”,即V1~V6(图5-5)。当时认为,胸导联虽然不是直接贴放在心肌上的“直接导联”,但毕竟是与心脏只隔着一层胸壁,故可视为“半直接导联”。其方法是利用上述单极导联的连接方式,将探查电极放在胸壁,无干电极与中心电站连接,其探查电极安放的部位通常有六个,即V1、V2、V3、V4、V5、V6

胸壁导联安放位置

V1导联位于胸骨右缘第4肋间;

V2导联位于胸骨左缘第4肋间;

V3导联位于V2与V4连线的中点;

V4导联位于锁骨中线第5肋间;

V5导联位于左肋前与V4同一水平;

V6导联位于左腋中线与V4、V5同一水平。

描记胸壁导联心电图时,肢体导联必须按正常连接方式安放好电极。否则,记录不出心电图。胸壁导联的电极安放部位一定要准确。

Wilson在提倡应用V1~V6导联时认为,胸壁导联虽然不是直接安放在心脏表面的“直接导联”,但电极与心脏只隔着一层胸壁,可以把V1~V6导联看做“半直接胸壁导联”。他从单极概念出发,认为V1、V2导联比较单纯地反映了探查电极下面右心室的电位变化,V4~V6导联是反映探查电极下左心室的电位变化,V3导联介于左右心室之间,反映的是“过渡区”的电位变化,这是盛行一时的单极导联。用向量概念考虑,单极概念是错误的。单极导联上的心电图波形是心向量环投影形成的。假设胸壁导联轴V1~V6都在横面上的一个平面上,各导联的角度如图5-6所示。

img84

图5-5 胸前壁导联电极安放部位虚线代表探查电极连线

img85

图5-6 胸壁导联轴

四、矫正后的导联

标准导联体系在理论上尚有不足之处,通过上述导联连接的方式可以看出,它所形成的三角形三个边未必相等,根据校正计算,Ⅰ、Ⅱ、Ⅲ导联相互比例不同,实际上是一个不等边三角形,心脏也不是正好是等边三角形的中心点,各导联距心脏的距离长短不一,敏感性不一样。导联越长,即正负极之间的距离越大,正侧与负侧的长短差别越大,所测的电势差就越大,其敏感性也越大。根据成人心脏的平均位置,Burger设计的三角形如图5-7所示。可见Ⅲ导联最长,Ⅰ导联最短。根据心脏平均位置计算各导联的校正系数为:

Ⅰ导联1.0 aVL1.0

Ⅱ导联0.56 aVR1.0

Ⅲ导联0.5 aVF0.8

胸壁导联V1~V6,矫正后的导联角度,V2导联振幅最大,最敏感;V6导联振幅最小,最可靠(图5-8)。矫正后的导联实际应用价值不大,临床工作者在实践工作中将左下肢电极安放在右下肢上,所记录出的肢体导联心电图并无变化,因而所谓矫正的导联体系也就失去了它应有的意义。

img86

图5-7 斜三角形与校正后的肢体导联角度关系及敏感性

导联轴愈长,表示愈敏感

img87

图5-8 胸壁导联轴校正后的角度及其敏感性

导联轴愈长,表示愈敏感

五、额面导联与横面导联

常用的12个导联分为两大类,即额面导联及横面导联。标准导联及加压单极肢体导联的心电图只能反映出上、下及左、右这一平面的心电活动,不能反映出前、后的心电活动。在心电图学中称为“额面”导联。

心前导联的V1~V6自胸骨右缘第4肋间隙,顺序围绕左侧胸围,到V6处于腋中线止。这六个心前导联只反映左右前后心电活动,不能反映上下的一个横平面,在心电图学上称为“横面”或“水平面”,导联(图5-9)。横面导联还包括V3R、V4R、V5R、V7~V9导联。无论是V3R~V5R,V7~V9,都已不在“心前”了,所以现在一般认为一切反映横面的导联,不宜再称心前导联,而应一律改名为胸壁导联。围绕胸壁的导联,它们都反映同一个横面,即左、右,前、后的心电活动,而不能反映上、下的心电活动,所以一切V导联都属于横面导联的范畴。

img88

图5-9 额面导联及横面导联