第三节 心率变异性
心脏受自主神经支配,交感神经兴奋,窦房结的自律性增强,心率加快,心肌收缩力增强,室颤阈值降低。迷走神经兴奋增强,使窦房结的自律性降低,心率减慢,室颤阈值增高。心脏在不受自主神经影响时,心率为100~120次/min,听诊为规则的心跳声音,常规心电图则显示规则的RR间期,24小时动态心电图检查显示RR间期并不完全规则,表现出大约有10%的波动。这种在窦性心律的一定时间内,逐次心动周期之间的时间变异数,称之为心率变异性(heart rate variability,HRV),其方法是分析随时间变化心率快慢差异性的变化程度。它反映了神经体液因素对心律和心率的调节功能。临床用于定量测定自主神经张力,对心肌梗死患者进行危险分层。
一、溯源与简介
(一)溯源 HRV提出,源于1965年妇产科医师Hon和Lee在产程中采用胎儿检测仪进行胎心检测时,发现胎儿宫内缺氧时心率增快、变化减小。胎心的变异性降低与胎儿宫内窘迫有关。70年代前,HRV用在劳动工效学中对体力负荷和精神负荷的评价。70年代曾设计了许多短时程RR差值的简单床边试验,用以测定糖尿病神经病变。1984年Ewing利用动态心电图采集24小时心电信号,发现正常人HRV变化有昼夜规律,且与自主神经张力的变化规律相一致,从而明确了HRV与自主神经的密切关系。
在这些领域的分析,促进了对RR间期波动中自主神经机制的认识。80年代确认了HRV是心肌梗死后死亡率强有力的独立预测因子,显现HRV的临床重要性。数字化24小时动态心电记录仪的发展,使HRV在揭示自主神经生理、病理机制和强化危险度分层中发挥了更大的作用。
(二)机理 自律性是心脏的固有特性,HRV反映的是RR间期之间时间上的差异,即节律变化的规律,心脏自身的节律主要受自主神经的调控和压力感受器、化学感受器反射以及呼吸对心率的影响作用。
1.正常心率 正常人体的心率代表了窦房结的除极频率,即使是安静状态下心率在个体之间也有较大的差异。不同的体力负荷可使心率相应增加,最高可达到安静时的3倍。生理情况下心率的快慢主要取决于对体力负荷的适应性,如高强度耐力运动员的心率可以很低,而运动负荷可达到最高心率因年龄可不同,20岁左右一般可达到200次/min,年龄增大则逐渐降低至170~180次/min。
2.自主神经对心率的影响 在没有任何神经体液因素影响的情况下,窦房结的固有除极频率即为固有心率,一般为100~120次/min。在未给以任何神经阻断剂的个体,其心率在任何时候都是代表使心率变慢的副交感神经(迷走神经)和使心率变快的交感神经的共同作用的净效应。在休息状态下,以迷走神经张力占优势。
(1)心交感神经效应 心交感神经的节前神经元位于脊髓第1~5胸段的中间外侧柱,其轴突末梢释放的递质为乙酰胆碱,后者激活节后神经元膜上的N型胆碱能受体。心交感节后神经元位于星状神经节或颈交感神经节内。节后神经的轴突组成心脏神经丛,支配心脏的各个部分,包括窦房结、房室交界、房室束、心房肌和心室肌。支配窦房结的交感纤维主要来自右侧的交感神经。心交感节后神经元通过其末梢释放的去甲肾上腺素,与心肌细胞膜上的β型肾上腺素能受体结合,导致心率加快。
窦房结对单个交感神经刺激后的反应,经历一个约5s左右的延迟间期后,心率开始上升并逐渐增加,此后心率逐渐增加达到稳态持续约20~30s在心率变异性的频域分析中交感神经的活动位于低频段。交感神经的刺激频率与心率呈双曲线性相关,与RR间期呈直线性相关。
(2)迷走神经效应 支配心脏的副交感神经节前纤维走行于迷走神经干中,这些节前神经元的细胞体位于延髓的迷走神经背核和髓核。心脏迷走神经的节前和节后神经元都是胆碱能神经元,节后神经纤维支配窦房结。心迷走神经通过其节后纤维末梢释放的乙酰胆碱作用于心肌细胞膜的M型胆碱能受体,可导致心率减慢。
窦房结对单个迷走神经刺激的最强反应出现在400ms之内,即窦房结在受到迷走神经刺激后,心率减慢的反应出现在其后第1次或第2次的心动周期中,即出现RR间期的延长,刺激终止后RR间期恢复至刺激前水平也极短,大约5s。窦房结对迷走刺激的反应还取决于刺激的频率,刺激频率愈快对窦房结的抑制作用愈强。如果以RR间期的长度反映窦房结的抑制程度,则迷走神经刺激频率与RR延长呈直线性正相关,若以心率减慢反映窦房结的抑制程度,则迷走神经刺激频率与心率之间呈双曲线相关。
3.压力感受性反射 任何一个瞬间心率均反映了许多因素对交感、迷走神经中枢的影响。有些反射通过降低迷走神经张力和(或)提高交感神经活性使心率加快,反之则使心率减慢。在整体情况下,有些反射是同时发挥作用的,某些反射间的相互作用十分复杂。压力感受器反射,主要存在于颈动脉窦和主动脉窦。当动脉血压升高时,动脉血管壁被牵拉的程度升高,颈动脉窦和主动脉弓感受器发放神经冲动增多,通过心血管中枢机制,使心迷走加强,心率减慢。压力感受器兴奋使之对输入神经纤维的释放频率增加,当血压开始增高时输出频率骤升,但很快就调整到一个仅轻度增加的频率。如果血压的改变持续存在,压力感受器将对它的调节范围进行重新调整。早期快速反应可在几分钟内出现,而慢性的重新调整将在数月内完成。
4.化学感受性反射 周围动脉化学感受器位于颈动脉和主动脉体内,当血液中的某些化学成分发生变化时,如缺氧、CO2分压过高、H+浓度过高等,颈动脉体和主动脉体化学感受器引起呼吸加深加快,可间接引起心率加快。
5.呼吸对心率的影响 窦性心律不齐指心率随呼吸的周期性变化,吸气时心率加快,呼气时减慢,其波动幅度不等。但在深而慢的呼吸时,变化幅度加大。心率随呼吸变化的机制是十分复杂的,包括中枢和反射的交叉作用。研究表明,在中枢神经系统的通路中,存在有一个联系迷走运动神经元和呼吸控制的门控机制。除中枢的作用外,呼吸运动还受来自呼吸器官本身以及血液循环等其他器官系统感受器传入冲动的反射性调节,如肺牵引受体兴奋所引的Hering-Breuer反射、心房受体导致的心动过速和压力感受器导致的心动过缓等。
窦性心律不齐,RR间期的变化幅度在呼气早期最为明显,而在吸气早期最低。其变化几乎完全由迷走神经传出神经所介导,窦性心律的波动幅度是代表迷走神经传入心脏的一个指数。这也是在HRV的频域分析中代表迷走张力的高频段的频率(0.15~0.4hz)范围与呼吸的频率相当的原因。
二、检测方法
对心率变异性的分析实际上是对心动周期变异的分析,对其进行分析的方法在不断发展的过程中,目前HRV的分析方法有时域分析法、频域分析法及非线性(混沌)分析法。
(一)HRV分析的原始数据 在进行HRV分析时,必须分析原始数据的正确与否,它是正确分析HRV的前提。用于HRV分析的原始数据,一般是按心搏顺序或按时间顺序排列的窦性心动周期或瞬时心率的大小。一个心动周期的长度为PP间期。由于P波难于检测,而QRS波在心电图上较易测得,所以一般以RR间期作为一个心搏的持续时间。因为,HRV是对窦性心律RR间期的变化规律进行分析,所以在HRV分析之前必需对心电图进行心律失常分析。在原始数据中必须首先去除由伪差所造成的伪QRS波、伪长RR间期等。异位搏动也会使HRV分析产生很大的误差,例如室性期前收缩的RR间期的缩短及其随之产生的完全代偿的长RR间期,会使频谱曲线的高频成分错误地增加。因此,短时程分析时,不仅要去除异位搏动心搏本身,也需要去除异位搏动前后的一些窦性心搏的数据。长时程分析个别的异位搏动可以忽略不计。
(二)时域分析法 时域分析是以一定的采样间隔对采集到的NN间期的时间序列信号,按时间顺序或心搏顺序排列的NN间期的数值,利用统计学离散趋势分析法进行分析。时域分析的结果,一般用于描述在一段较长时间内(例如24小时)HRV的大小,用于自主神经系统对心率的调控作用做出总的概括性的评价。
心动周期一般指PP间期,但在心电图上R波更易测量,又因绝大部分情况下PP间期=RR间期,故常用动态心电图测量RR间期的直方图或RR间期差值的直方图的形状来描述HRV。
1.RR间期直方图和RR间期差值直方图R-R间期直方图(NN间期直方图)是对某一个人在一定的时间段(如1、12、24小时)内的RR间期长度的分布图,即以规定的采样间隔(如10ms)来统计不同的RR间期的心搏的次数。直方图的形态可以很直观地代表HRV的大小,当直方图高而窄时HRV偏小,低而宽时HRV较大。正常人NN间期直方图常表现为多峰的形状,整个直方图低而宽,NN间期数值分布很广(图68-4)。自主神经系统受损的患者,NN间期直方图多呈单峰状,直方图窄而高,NN间期的变化很小,心率变异性小。由于采样间隔的大小直接影响了直方图的底和高的关系。为使各组资料之间有可比性,目前国际上推荐使用1/128s(7.8125ms)为标准的采样间隔。NN间期直方图的形状表示了包括交感神经和迷走神经在内的整个自主神经系统对心率调控作用的大小。

图68-4 正常人的心率变异性RR间期直方图
RR间期差值直方图是以相邻的窦性心搏的RR间期的差(即后一个心搏NN间期减去前面一个心搏的NN间期的差为横坐标,中点为0,RRi+1-RRi>0时,差值为正数,RRi+1-RRi<0时,差值为负数(以ms为单位),纵坐标为心搏次数。NN间期差值直方图代表了迷走神经对心率的调控作用
2.心率变异性常用时域分析指标
(1)sDNN(standard deviation of all normal to normalRR intervals) 正常窦性RR间期(一般表示为NN间期)的标准差。计算检测时间内(如24h)内所有正常窦性RR间期的标准差。

在公式中,N为HRV检测时间内正常合格的NN间期的个数,NNi是第i个NN间期(单位为ms),i=1、2……N。MeanNN是N个NN间期的平均值。SDNN实际上是衡量NN间期直方图形状的一个指标,当NN间期直方图低而宽时,SDNN大,HRV也大;当NN间期直方图高而窄时,SDNN小,HRV也小。
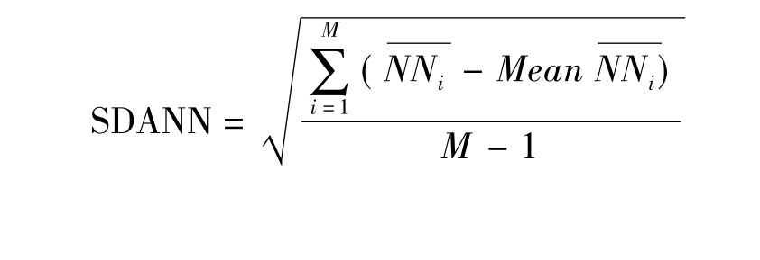
(2)sDANN(standard deviation of allmean 5-minuteRR intervals) 把24小时全程记录得到的NN间期数据按时间顺序,每5min为一个段划分成若干段,先计算每5min时间段内的NN间期平均值,再计算这些平均值的标准差。

式中,M为24小时所分成的时间段数目,当24小时内每段数据都符合HRV测量的要求时(异位搏动、漏检心搏及虚假心搏较少时),M=288。NNi是第i段内NN间期的平均值,i=1、2……288。MeanNNi是M个NNi的平均值。SDANN表达了24小时内NN间期的变化,仍然是HRV长程检测的指标。SDANN的正常值约为(127±35)ms。
(3)RMSSD(The rootmeansquare ofsuccessive differences between adjacent normal cycles) 相邻NN间期差值的均方根值。相邻的NN间期的含义是,两个心搏是相邻的.同时这两个心搏又都符合作为HRV分析原始数据的标准。例如,这两个心搏都是窦性心搏,而且在其前后又没有异位搏动、漏检心搏等。

(4)sDNN index(Mean of thestandard deviation of all NN intervals for all 5-minsegments(288)of 24hour) 24小时全程记录中每5min NN间期标准差(共288个值)的平均值。即将长程检测得到的NN间期按时间顺序划分成每5min一段,首先计算每段内NN间期的标准差,再计算这些标准差的平均值,即为SDNN index。


公式中,i为每个5min时间段内的心搏数,M为检测时间内5min的时间段数目。MeanNN为每个5min时间段内NN间期的平均值。
(5)sDSD(Standard deviation of successive of differences between adjacent normal cycles) 相邻NN间期差值的标准差。SDSD是用于衡量迷走神经对心率的调控作用大小的时域HRV指标,单位为心搏数。这个指标通常也用于长程24小时的HRV检测,用于衡量迷走神经张力对心率的调控作用的大小。相邻NN间期的差值的平均值,N为相邻NN间期差值的个数。
(6)NN50(The number of time that the difference between adjacent normalRR intervals isgreater than 50ms,computer over 24h) 全程24小时记录中相邻NN间期差值>50ms的个数,数值越大表明心率变异性愈大。
(7)PNN50(Percent of NN50 in the total number of NN intervals) NN50占所有NN间期个数的百分数,其意义和NN50相同;但由于各个患者NN间期的基数不同,相互之间的NN50不能直接比较,而PNN50可以相互比较。
(8)hRV三角指数(triangular index) 以1/ 128s为采样间隔绘制某时段(24小时)内全部NN间期的直方图,以NN间期总数除以占比例最大的NN间期数(即NN间期直方图最高点的心搏数)。直方图的外形愈是宽和低则指数的绝对值愈大,表示心率变异性大;反之则表示变异性偏小。
(9)CV变异数(coefficient of variance) 上述SDNN等指数大小除受HRV大小的影响外,还受基础心动周期长短的影响。基础周期长,周期变化值越偏大些。如以心率计算则变化值会相对小些。因此,有人建议将这些指数除以该时期的平均心动周期,得相应的SD-CV、MSDCV、MSDDCV等,有利于不同基础心率时刻及个体之间作对比。
(10)TINN(The triangular interpolation of NN intervalhistogram) 全部NN间期排成的直方图中以峰值为高的近似三角形的底宽,其实际意义和HRV三角指数相同。
(11)st George指数(St George index) 全程NN间期总数除以直方图上占比例最大的NN间期数乘以2,其数值为三角指数的2倍,其意义与之相同。
(12)差异指数(Differential index) 以相邻NN间期差值所绘制的直方图中,不同标高的宽度的差值,差值愈大则表示心率变异性愈大。
(13)心率骤增次数 指心率突然增加≥10次/min、持续5~15min的次数。次数减少提示HRV降低。
以上SDNN、SDANN、RMSSD、SDSD、NN50、PNN50、均是时域分析的统计学方法,HRV三角指数是时域分析的几何学方法。
NN间期的标准差(SDNN)主要反映的是自主神经功能整体的变化。NN间期的差作为衡量整体HRV大小的一个最直观的指标,在急性心肌梗死后患者发生猝死或心律失常的风险预测时,其有效性经过大样本、长期随访的临床试验验证,<100ms为中低,<50ms为重度降低。不同记录时间的NN间期的标准差差异较大,不可比,用来计算NN间期的标准差数值的记录时间(其他心率变异性变量也是一样)必须标准化。根据文献资料,短程的5min记录和正常的24小时长程记录是合适的选择,NN间期均值的标准差表达24小时内NN间期的变化,是心率变异性长程检测的指标,反映的是自主神经整体功能的变化。
相邻NN间期差值的均方根反映了NN间期差值直方图的形状。当迷走神经张力大时,NN间期差值直方图低而宽,相邻NN间期差值的均方根大。因而相邻NN间期差值的均方根可以作为衡量迷走神经对心率的调控作用大小的指标。相邻NN间期差值的标准差表示迷走神经对心率的调控作用的大小。
NN50通常也用于长程24小时的HRV分析,主要代表迷走神经张力对心率的调控作用。PNN50和NN50的意义基本相同,但使用NN50时,须严格规定其测量时间为24小时,以便相互间可以进行比较。有试验证实,pNN50最为稳定和最能体现总体离散度,同时试验提示为更好的区分正常和病理状态,pNN50的临界值应当选择20ms或更低,而不是以往推荐的50ms标准。
NN间期直方图的宽度、高度和三角形指数都是用一个三角形来近似地描述NN间期直方图的形状,这两个指标更适合在NN间期直方图为单峰情况下使用。也就是说,比较适合生理条件比较稳定的住院患者或自主神经系统受损的患者使用。在NN间期直方图为单峰形状时,NN期直方图的宽度与三角形指数这两个指标相差不大,可以近似地认为NN间期直方图的宽度相邻NN间期的差超过50ms的心搏数等于三角形指数×2×7.8125ms,这两个数值表达24小时内所有的心率变异性,它们更多地受到低频的影响。
HRV时域分析指标目前有SDNN、SDANN、SDNN指数、SDSD、NN50、HRV三角指数RMSSD,推荐使用SDNN、心率变异三角形指数、SDANN、RMSS四个指标。
HRV的时域分析是最简单易于接受的方法,它是以时间为自变量来分析NN的变化规律。可以得到一些衡量HRV大小的指标。时域分析方法可以做长时程HRV的分析,也可以用作短时程HRV的分析,通常推荐长时程24小时为标准,短时程的分析不短于5min。时域分析指标主要反映的是整体自主神经功能变化的情况,短时程分析信息量小,准确性差,一般推荐进行HRV的时域分析时采用24小时连续信息记录这样可以客观评价24小时自主神经对心率的调控,特别对急性心肌梗死的预后判断,不宜取任何段分析。各项指标不能相互取代,如SDNN与SDANN或RMSSD的变化,则可根据需要取不同时段。计算法指标,采样时间不得少于20min。由于自主神经功能受外界因素影响较大而在进行对照性研究时,长时程记录的影响因素难以统一或控制,所以任何情况下,任何指标,不同时程的HRV分析结果不能直接比较。
(三)频域分析法 HRV主要是测量NN间期(或瞬时心率)变化的大小及变化规律。NN间期变化的大小反映了HRV整体的大小,而NN间期的变化规律反映了交感神经与迷走神经张力平衡的状态。HRV时域分析的指标大多用于描述HRV整体的大小,不能仔细地分析交感神经和迷走神经各自的活动的情况,而HRV频域分析则可以弥补这个缺点。频谱曲线的形成是通过傅立叶变换可将自变量为时间,因变量为幅度的时域量变换成自变量为频率,因变量为幅度的频域量。频谱曲线的横坐标是频率(Hz),纵坐标是功率密度(单位频率的功率)。频域分析的功率谱密度单位(PSD)有以反映RR期变异的即ms2·Hz;有以反映瞬间心率变化的即次/(min·Hz),尽管都是反映心搏活动的时相变化,但前者对反映各频谱变化的敏感性更好。也可通过自回归分析法将时域转换为频域,两种方法所绘制的图形不相同,但其数量的结果是可比的。
1.频谱的基本概念 在数学上任何一个复杂的曲线(在HRV分析中是NN间期或瞬时心率变化曲线)都可以分解为很多个不同的频率、不同幅度、不同相位的正弦曲线的叠加。将曲线转化为频谱,而通过频谱来研究变化规律的方法称为频谱分析方法。
在HRV的频谱分析中,情况较时域分析更复杂一些。首先,NN间期变化曲线在时间上不是无限长的,而是在有限时间区间内的数据(例如通常采用5min内的NN间期数据);其次,NN间期变化曲线不是连续的曲线,而是由逐个心搏得到的离散数据序列,必需采用有限区间的离散变换方法得到频谱。
在信号处理领域中所处理信号常常是电压或电流,除了讨论其幅度谱及相位谱之外,还经常使用功率谱。信号的总功率为各个频率分量的功率之和。各个频率分量的功率用功率谱密度函数(powerspectral density,PSD)来表示。在NN间期的频谱分析中,也借用功率谱密度的概念讨论NN间期的功率谱密度随频率的变化关系。因此频谱曲线也称为功率谱密度曲线。
在HRV分析把横轴划分成三个频段:0~0.03hz称为极低频段(very low frequency range),0.03hz~0.15hz称为低频段(low frequency range);0.15~0.4hz称为高频段(high frequency range),中心频率位于极低频内的分量称为极低频分量(VLF component),中心频率位于低频段内的分量称为低频分量(LF component),中心频率位于高频段内的分量称为高频分量(HF component)。对自主神经系统活动的一些基础研究证实,迷走神经的活动主要影响HRV的高频分量。低频分量的生理学解释尚不完全清楚,一些文献指出低频功率主要受交感神经活动的影响,而另一些文献认为交感神经和迷走神经两者的活动都能对低频成分产生影响。极低频分量虽然经常在总功率中占有绝大部分的比重,但其生理学的解释尚不清楚,仍有待进一步的研究。
2.HRV频谱分析的指标对5min的短程检测和24小时的长程检测都可以进行频谱分析。但推荐使用5min的短程检测的频谱分析。
(1)短程检测的HRV频谱分析使用的指标 在5min的短程测量中,仅用5min内的总功率(total power)、高频功率(HF)、低频功率(LF)、极低频功率(VLF)、规一化的低频率(LF norm)、规一化的高频功率(HF norm)和低频高频功率比值

图68-5 正常人24h频域功率图
这7个指标
1)5min总功率(total power TP) 单位为ms。为5min内NN间期变化的总功率,是功率谱密度曲线函数在0~0.4hz范围内的积分值,也就是功率谱密度曲线在0~0.4hz范围内与横轴所夹的面积。正常参考值(3466±1018)ms。
2)极低频段功率(VLF) 单位为ms。当采用有参数算法时,是功率谱密度曲线分解成的极低频分量曲线(中心频率位于0~0.04hz范围内的分量)的积分值,也就是极低频分量曲线与横轴所夹的而积。极低频分量的中心频率位于0~0.04hz范围内,但这个分量的功率谱密度曲线可以延伸至其他频段中。也就是这里的VLF是指整个VLF分量曲线的面积,而不是这个曲线在0~0.04hz范围内截取的面积。
当采用无参数(FFT)算法时,VLF是NN间期功率谱密度曲线在0~0.04hz范围内的积分值,也就是整个功率谱密度曲线在0~0.04hz范围内与横轴所夹的面积。
3)低频功率(LF) 单位为ms。当采用有参数算法时计算功率谱密度曲线时,LF是低频分量曲线的积分值,也就是低频分量曲线与横轴所夹的面积。当采用无参数(FFT)算法时,LF是功率谱密度曲线在0.04~0.15hz范围内的积分值,也就是功率谱密度曲线在0.04~0.15hz范围内与横轴所夹的面积。
4)高频功率(HF) 单位为ms。当采用有参数算法计算功率谱密度曲线时,HF是分解出的高频分量曲线的积分值,也就是高频分量曲线与横轴所夹的面积。通常高频分量曲线可能不止有一个,这时HF是几条高频分量曲线的积分值之和。当采用无参数(FFT)算法时,HF是功率谱密度曲线在0.15~0.4hz内的积分值。也就是功率谱密度曲线在0.15~0.4hz内与横轴所夹的面积。
5)规一化的低频功率(LF norm) 单位nu。LF norm=LF/(TP-VLF)×100。LF norm实际上是LF占LF与HF之和的百分比。
6)规一化的高频功率(HF norm) 单位nu。HF norm=HF/(TP-VLF)×100。HF norm实际上是HF占LF与HF之和的百分比。采用规一化的低频及高频功率的指标可以更好地描述交感神经与迷走神经的平衡状况。这主要是因为在规一化的功率中减少了总功率的变化对HF及LF的影响。
7)低频功率与高频功率的比值(LF/HF) LF/HF比值也能说明交感神经张力与迷走神经张力的平衡状态。5min短程的HRV频谱分析不仅能分析总的HRV的大小,而且可以分别分析交感神经及迷走神经各自的活动。因而是HRV分析中非常重要的方法。但是短程的HRV频谱分析对于异位搏动,心搏漏检和伪差等干扰都非常敏感。为此,在进行短程的频谱分析之前,对5min的心电图波形及其心律失常分析的结果都必需进行仔细地检查。首先要保证每个心搏的标记正确,其次要保证在5min内要有足够数量的连续的窦性搏动,以保证能形成可靠的满足HRV分析所需要的NN间期数据。在HRV检测的5min内,患者要保持严格一致的生理状态也是非常重要的。例如,在HRV检测之前及检测的5min内,应平静仰卧、精神放松、平稳呼吸,在检测之前戒烟酒等。
(2)长程24小时检测的HRV频谱分析指标 24小时长程记录的NN间期也可以用来进行频谱分析(图68-5)。与短程分析不同,在长程检测的频谱分析时,划分成四个频段:即超低频段(ULF),0~0.003hz;极低频段(VLF),0.003~0.04hz;低频段(LF),0.04~0.15hz;高频段(HF),0.15~0.4hz。与短程检测时不同,在长程检测时将短程检测时的VLF进一步划分成ULF和VLF两个频段。
最后指出,由于HRV直接分析的是RR间期或心率的变化,在HRV频谱分析中所得到各种频谱分量并不直接表示自主神经系统的张力的大小,而只是说明自主神经系统对心率的调控作用的大小。
3.推荐使用的指标与时域分析不同,频域分析对短时程和长时程分析结果的意义差别很大。短时程(5min)分析应取平卧休息状态,控制好患者及环境条件,避免各种暂时影响自主神经活动的因素,如深大呼吸、吸烟、饮酒等,使所得结果能反映被检者应有的自主神经情况。而长时程(24小时)的频域分析不能做到上述各种因素的控制,其结果只能反映总体综合情况。
4.频域分析的注意事项
(1)应根据研究内容的不同,正确选用长程或短程分析。长程和短程分析不能相互替代。
(2)频域分析时,一般以250~500hz或更高的采样率为宜。
(3)短程分析采样过程中要避免有期前收缩、漏搏等情况。
(4)采用傅立叶转换方法的频谱分析,应提供频谱曲线及各谱段的具体数据外,说明所分析的样本数及所使用的频谱窗函数(目前较多用的是Hann、Hamming、Triangular等)。采用自回归分析则应标明所使用的model的型别、各频段的中心频率以及相应的测试要求。
5.频域分析和时域分析的比较同一段短时稳定记录的心电信号,频域分析中得到的信息比时域分析更多或更准确。
(四)hRV的非线性分析 HRV时域分析方法和频谱分析方法都属于线性分析方法。人体内的生物过程都属于非线性过程,因而用线性分析方法的结果不能得到很好的临床解释,也降低预测的准确性。
由于心率的变化是受血流动力学、电生理及激素的变化及自主神经和中枢系统等多项因素影响的非常复杂的过程,HRV线性分析方法并没有揭示出心率变化中所包含的所有的有意义的信息。线性分析方法过于粗糙,其数学模型也不符合心率调控系统本身是非线性系统这一基本事实。这不仅使得很多线性分析方法的分析结果能得到很好的临床解释,也降低了其预测的准确性。分析HRV的另一途径是非线性方法,Lorenz散点图(Lorenz plot)是重要的非线性研究方法之一,亦称Poincare图(图68-6)。用非线性动力学方法来描述和分析自主神经系统对心率调控这一复杂的过程,可以获得更多的有意义的信息,以提高HRV作为预测指标的准确性。RR间期的散点图是在二维图形中以两个相邻窦性心搏中前一个RR间期(RRn)为横坐标,后一个心搏的RR间期(RRn+1)为纵坐标,依次绘出坐标点,形成散点图。

图68-6 正常人的24小时心搏的散点图和修正散点图
1.定性测量 连续窦性心搏的RR间期Lorenz图可呈多样性,通常健康人的图形为棒球拍(彗星)状,它是在坐标系的第一象限,沿着一条与X轴和Y轴各为45°角的直线纵向分布,在靠近坐标原点一端,图形分布较窄,越是远离原点的方向,图形分布越宽。当总体心率较快时,棒球拍移向坐标原点,反之移向远离原点的一端,表现了心脏生理节律的变异性。Lorenz图的长度代表24h心率的总体变异度,垂直于直线方向上的宽度代表相邻RR间期差异,表达瞬时心率变化反映迷走神经活性。
鱼雷状、短棒状、扇状、扩张形、不成形状等是HRV异常改变的表现,在冠心病、高血压、心机梗死、心衰、肾衰、糖尿病、甲亢等情况下较为多见。
2.定量测量 矢量长度指数(Vector length of the index,VLI):是衡量RR间期散点图长度的指标。正常值为(197.77±40.11)ms。VLI代表瞬时心率变化曲线中慢变化成分的大小,矢量长度指数越大,心率变化中的慢速成分越大。矢量长度指数还代表低频与极低频成分的大小。正常人矢量长度指数有昼夜差别,通常夜间指数较白天高。
矢量角度指数(vector angle index,VAI):是衡量RR间期散点图45°线两侧散开程度的指标。主要代表瞬时心率变化曲线中快速变化成分的大小,矢量角度指数越大,心率变化的快速成分越大。矢量角度指数还代表频谱中高频成分的大小。正常人矢量角度指数有昼夜差别,通常夜间指数较白天高。
(五)hRV线性分析方法与非线性方法的比较 线性方法的时域、频域指标与非线性指标有一定相关性,其中Lorenz散点图的长度与时域指标中的变异指数(Var index)、rMSSD、pNN50呈很强的正相关,主要反映迷走张力的变化。散点图的宽度、长度也与频域的功率谱有相关性。有人对仰卧、呼吸控制、运动及运动恢复后的图形进行观察,结果显示,当图形的宽度较宽时,频域指标中高频成分的峰值较高;宽度明显较小时,高频部分消失,长度减小时,低频部分几乎消失;但低频部分似乎与宽度也有一定关系。
传统的时域频域分析相比,非线性方法能更为敏感地反映HRV的变化,个体化程度更高。同一患者不同时期的散点图,其图形也有变化。但与时域、频域指标一样,散点图的图形与疾病诊断没有特异性对应关系。
(六)正常参考值 1996年由欧洲心脏学会和北美起搏与电生理学会共同组成的专家组对HRV的一些指标确定了试用标准值。由于缺乏大样本的正常人群实验结果,因此本标准值只是针对一些小样本的实验对象。它还要受到诸如性别、年龄及环境等因素的影响,仅供参考。HRV标淮方法的正常值如下:①24小时时域分析的SDNN、SDANN、RMSSD分别为(141±39)ms、(127±35)ms和(27±12)ms。②静态仰卧位5min记录的功率谱分析,TP、LF、HF分别为(3466±1018)ms2、(1170±416)ms2和(975±203)ms2;LFnorm、HFnorm、LF/HF分别为(54±24)nu、(29±3)nu和1.5~2.0。
基于国内目前尚无大系列正常人群的HRV研究,由中华医学会心电生理与起搏分会组织会同八所有HRV研究基础的医科大学,在统一设计、统一仪器、统一方法的前提下对中国不同年龄的HRV参考值进行研究,共1468例,结果如表68-1~4。
表68-1 各年龄组5min时域正常参考范围

(续表)

表68-2 各年龄组5min时域各项参数比较

表68-3 各年龄组24h时域正常参考范围

(续表)

表68-4 各年龄组24h时域各项参数比较

三、临床应用
HRV是窦性心律在一定时间内周期性改变的现象,是反映交感迷走神经张力及其平衡的重要指标。目前,HRV已成为用于测定心血管自主神经功能的一种定量方法,在心血管疾病尤其是冠心病具有判断预后、预报猝死等的应用前景。
研究表明,健康成人的HRV表现为日间降低、夜间升高的节律。一般于凌晨3~5时达到峰值,随之在觉醒前后迅速降低,于觉醒3~4小时后即上午10~12时降低至谷值。频域指标中主要反映交感神经功能状态的低频成分(LF)以及反映交感副交感神经相互作用的参数低频与高频成分比值(LF/HF)的昼夜变化特征与其他HRV指标相反,表现为日高夜低的现象,反映了交感神经活动日间增强、夜间减弱,而迷走神经活动则呈夜强日弱的特征。此外,时域指标中最为常用的24小时RR间期标准差(SDNN)一般与心率本身的变化节律相似,即在觉醒时刻前后显著增高(此时心率由夜间较低水平迅速升高至日间较高的水平。HIV这种夜高日低的变化特征,体现了迷走神经系统对心脏的夜间相对保持作用。
(一)hRV在冠心病中的应用 HRV可以定量检测心脏自主神经活性,具有快速、无创和简便等优点,可以成为评价冠心病患者冠状动脉病变范围及其预后的一种新手段。多个研究证实,HRV可在一定程度上预测冠心病的预后,作为预测冠心病预后的因素。
王艳等对冠心病组48例,男35例,女13例;年龄(67±5)岁;正常对照(NC)组48例,男30例、女18例,年龄(59±6)岁的HRV的比较,发现冠心病组SDNN、RMSSD、PNN50、HF均显著低于NC组(P<0.05)。正常组SDNN为(147±39)ms,与1996年欧洲心脏病学会北美心脏起搏和电生理学会的综合报道结果相似。冠心病组SDNN、RMSSD、PNN50和HF明显低于正常对照组,提示冠心病患者心血管自主神经调节功能受到损害,迷走神经活性的降低减弱了对抗交感神经活动的作用,导致交感神经活动占优势。
冠心病患者HRV均降低,减低程度与冠状动脉粥样硬化范围和程度呈负相关,是冠状动脉粥样硬化进展的独立预测指标。HRV降低不仅预示冠状动脉病变进展较快,而且还是心肌梗死后心脏性猝死的独立相关指标。
周淑娴等对186例冠心病患者的冠状动脉病变范围程度和HRV指标,进行了Logistic回归分析,发现HRV时域指标和频域指标均随冠状动脉病变范围和程度的加重而降低。时域指标中的SDNN、SDANN、ASDNN、rMSSD、PNN50、PNN50a、PNN50b与冠状动脉病变范围和程度呈负相关(P<0.01或P<0.05)。频域指标中的LF、VLF、HF与冠状动脉病变范围和程度呈负相关P<0.01或P<0.05)。杨春丽对72例冠心病患者和60例正常人进行HRV时域分析和频域分析,发现冠心病组各项时域指标及频域指标均较对照组降低,组间比较有显著性差异(P<0.01、<0.05),单支、双支、三支病变组分别与对照组比较,HRV均降低,组间比较有显著性差异(P<0.01);双支、三支冠心病组分别与单支病变组比较,HRV均降低,组间比较有显著性差异(P<0.05);双支病变组与三支病变组HRV比较,无显著性差异(P>0.05),50%~89%,90%~完全阻塞两组HRV均明显低于对照组(P<0.01),90%~完全阻塞组HRV明显低于50%~89%狭窄组P<0.01)。
对于急性心肌梗死患者HRV的价值已经得到确认,大样本临床研究发现,SDNN<50ms的急性心肌梗死患者死亡相对危险性是SDNN>100ms患者的5.3倍,提示心率变异性可以作为急性心肌梗死患者预后的独立预测指标。如与其他因素相结合可能会发挥更大的作用。国内王红宇等对60例急性心肌梗死患者随访5个月,发现心率变异指数减低者发生预后不良率和猝死率是正常者的8.8倍和8.2倍。另有对192例老年人行24小时动态心电图HRV分析并进行(21.2±7.7)个月的随访,发现与未发生心血管事件组相比,发生心血管事件组HRV指标SDNN、SDANN、LF、HF及TF均明显降低,并认为SDNN可能是一项除性别、年龄、糖尿病、高血压、冠心病、心肌梗死外的预测心血管事件的独立危险因素。
近年的研究发现,HRV可作为心脏性猝死危险性的一个独立预测指标,尤其是SDNN具有独立的、敏感性高的预测价值。武留信、王红宇等研究了急性心肌梗死早期的HRV特点,并发现HRV减低的患者预后不良。HRV的时域值即明显降低,易于发生严重心脏事件者。王淑卿等研究也得出了相同结论,急性心肌梗死早期HRV时域值的降低,与近期预后有相关性。
袁慧敏等对90例急性心肌梗死患者和80例正常人进行HRV测定,结果显示急性心肌梗死组各项参数除rMSSD、MODE外,均较正常对照组显著降低。并认为关于急性心肌梗死后HRV减低的确切机理可能是由于心肌梗死直接损伤梗死区的化学性感受器和机械性感受器释放局部化学因子,减弱神经传导,而且每一种化学因子又可进一步引起反射效应,使迷走神经活动降低,或者是对神经纤维的直接影响,由于这些影响对神经纤维损伤并非均匀一致,因此更加导致迷走神经和交感神经活动失衡,但这种变化大多在几周或几个月内逐渐恢复,也有随访观察1年后仍未恢复者,其日后出现心性猝死的机率要明显高于HRV恢复者,故急性心肌梗死后HRV持续不升者(约>1年)可作为预测急性心肌梗死后猝死危险性的一个独立因素。
陈勇等对60例急性心梗患者观察发现,急性心肌梗死患者SDNN越低,严重心衰发生率越高,SDNN是HRV时域测量法的主要指标,提示HRV降低与急性心肌梗死心衰程度有明显相关性,这与国内外研究结果相符合。
近10余年来,HRV分析方法对于心肌梗死后危险性分级的价值越来越受到重视。Kleiger等对808例心肌梗死患者进行2年多随访发现,心肌梗死后11天左右SDANN<50ms者的死亡率是SDANN>100ms者的5倍,且不受平均心率、左心室功能、复杂性室性期前收缩和临床症状的影响。其预测价值优于心室晚电位、左心室射血分数、室性期前收缩频率、心肌梗死早期并发症和Killip分级等指标。
(二)hRV在糖尿病中的应用 自主神经病变是糖尿病的一个并发症,它使交感神经和非交感神经通路中小神经纤维的早发和广泛的神经元退变。对于糖尿病合并自主神经病变的患者,传统上采用深呼吸、改变姿势和Valsalva动作诱导下测量心率加以判断,但只有在自主神经严重病损时才能出现。而在目前的研究发现,糖尿病自主神经病变患者的HRV心率功率谱(HRPSA)分析中,LF和HF均减低,即使在站立情况下,LF/hF也没有增加,说明交感神经严重受损。
1986年Comi等报道,在自主神经病变糖尿病的HRV心率功率谱分析中,LF/HF都减少。1996年王红宇等用24小时动态心电图研究了72例2型糖尿病患者,发现其心率变异指数较正常人明显减低。夏杰等对2型糖尿病患者66例,男28例,女38例;年龄30~72(54±10.6)岁,病程1~20(6.86±4.82)年;健康人群67例,其中男33例,女34例;年龄(52±9.75)岁进行了研究。结果显示:①2型糖尿病所有指标与对照组相比均减小(P<0.005)。②RR间期直方图低而宽,呈多峰状;2型糖尿病组患者的RR间期直方图多呈单峰状,而心血管自主神经病变越明显,RR间期直方图呈狭窄单峰刺状。③24小时所见2型糖尿病组患者的频域分析总能谱面积均减小(P<0.001);代表交感和迷走神经成分的低频部分与代表迷走神经成分的高频部分,在2型糖尿病组中均减少。④2型糖尿患者的瞬时心率频谱曲线三维体图特点为总能频谱面积减小,频带功能降低,夜间HF峰值降低和消失,LF的中心频率带向左移。
最近葛健等对42例糖尿病患者和40例健康正常人行12导联常规心电图及24小时动态心电图检查,发现糖尿病患者室性期前收缩的发生与HRV各指标呈负相关。这说明HRV是一项评估自主神经功能的定量性检查指标,是判断预后、预测死亡的一个危险因子。
近十年的大量研究已肯定了自主神经活动与多种疾病的关系,同时也公认HRV分析是判断自主神经活动的常用指标,以及HRV在较早发现糖尿病患者自主神经病变的实用价值。
吕旺明对58例2型糖尿病作24小时检测分析,并以64例健康人作为对照组。结果显示,2型糖尿病患者HRV的多数指标较对照组明显减低,有显著性差异。郭秋杰对44例合并高血压、冠心病及48例单纯糖尿病患者进行24小时HRV时域分析,并进一步发现其昼夜变化规律,同时与年龄、性别相当的62例正常人HRV资料比较发现:①糖尿病患者各项时域分析指标均较正常组降低(P<0.05)。②与单纯糖尿病患者比较,有心血管合并症的糖尿病患者HRV参数中正常RR间期的标准差(SDNN)、每5min正常RR间期平均值的标准差(SDANN)、每5min正常RR间期标准差的平均值(SDNNindex)、相邻正常RR间期差值的均方根值(RMSSD)明显降低。③昼夜资料分析显示,糖尿病患者白天和夜间SDNN、SDNN-index、RMSSD、相邻正常RR间期差值>50ms的计算占总RR间期数和百分比(PNN50)均较正常组明显降低;合并高血压、冠心病的糖尿病患者测值改变更加明显(P<0.05)。结论为糖尿病患者存在着HRV异常,其异常程度与病情轻重呈正比,有心血管合并症者昼夜节律异常更加显著,提示尿病患者的HRV分析有助于预测恶性心血管事件的发生。
目前已公认,HRV分析是判断糖尿病患者是否伴有自主神经功能损害最准确,最敏感的指标。其价值已大大超过既往使用的Valsava、直立试验及深呼吸试验。HRV的检测为临床医生判断糖病患者有无自主神经功能损害。损害程度及预后提供了一个较好的方法。
(三)hRV在高血压病中的应用 自主神经系统在原发性高血压发病中的作用,一直是研究的热点。1991年Daussi等发现,正常人组的血压没有明显的昼夜变异性,而高血压患者的夜间血压低于白天,正常化的HRV的低频成分夜间减少,而高血压患者HRV低频成分没有明显差异。1995年白梅等应用心率变异指数法测定了119例高血压患者的心率变异指数,并进行了17个月的随访,结果显示预后不良组比预后良好组明显减低,指数<25的患者死亡率是>25的8倍。
温正乐等用24小时动态心电图监测分析系统分别测定100例高血压患者及100例正常人24小时心率变异性(SDNN)及每6小时的心率变异指效,发现正常人各时段HRV以3:00~9:00段为最大,和其余段比,经统计学处理,差异有极显著意义(P<0.01);15:00~21:00最小,和其余段比,差异有极显著意义(P<0.01)。高血压组HRV也以3:00~9:00为最大,和其余时间段比有显著意义(P<0.05),15:00~21:00最小,但和另二段比无统计学意义。高血压组和正常组各时间段比较,高血压组HRV均小于正常组,统计学结果有显著意义。昼夜各段时间不同的HRV值,显示心脏迷走、交感神经张力在一天24小时的变化。结果显示,正常人凌晨3时至上午9时这段时间迷走神经张力最高,而下午3时至晚上9时交感神经活性最大,其余二段时间处中间水平,差异不显著。高血压组也呈类似变化,但和正常组相比,总的HRV及各时段的HRV均有不同程度的降低。可能与交感神经活性增加有关,且呈24小时持续影响。交感神经系统对维持和调节正常血压起决定作用,抑制交感神经系统的药物能有效地降低血压,故研究HRV对此显得十分必要。为客观反映HRV日间小、夜间大的变化,除主张进行24小时连续的心电记录,有时还分别测定昼夜的变化,比较他们之间的差别。
党群等对89例高血压病患者按不同危险分层进行心率变异性对比分析,从低危、中危、高危到极高危险分层组5项时域指标SDNN、SDANN、SDNNindex、RMSSD、PNN50及2项频域指标LFnorm、HFnorm有显著差异(P<0.05);高血压组伴单项血脂异常(总胆固醇>6.5mmol/L)与单纯高血压者时域指标对比,数值上的变化无显著差异性(P>0.05);高血压组伴左心室肥厚者HRV显著低于无左心室肥厚者(P<0.01);高血压伴左心室肥厚并有心力衰竭者HRV显著低于无心力衰竭者(P<0.05)。其结果反映随着多种危险因子的参与和高血压的不断发展,器官损害趋于严重,自主神经功能调节失衡亦渐明显,表明高血压病自主神经功能损害程度与危险因子的参与及器官受损程度相关。因此对高血压患者进行HRV分析有助于识别高危人群。预测心脏功能受损的程度和判断预后。所以HRV作为高血压危险分层的一项指标在临床上有重大意义。
高血压病患者HRV减低与左心室肥厚、心功能不全、心脏事件的发生呈正相关,心肌肥厚越重,HRV减低越明显,室性心律失常发生率越高越严重。其机制可能是由于心肌缺血、缺氧对心室壁机械、化学感受器的刺激通过反射活动改变了心脏自主神经调节的均衡性,导致了对心脏调节作用减弱,或是心肌缺血造成自主神经末梢受损的结果。
国内有人对高血压病左心室肥厚(LVH)32例,高血压病非LVH 34例和正常人45例进行24小时连续心电监测HRV。结果高血压病LVH组的心率变异指数(HRVI)比非LVH组明显减低(P<0.01);高血压病LVH组与非LVH组HRVI均显著低于正常对照组(P<0.01),时域指标SDNN、RMSSD、PNN50、ST三角形底宽在LVH组、非LVH组及正常对照组间差异均有显著性(P<0.05,P<0.01)。
近几年随着对高血压患者的脉压与HRV研究,发现两者的确存在某种内在联系。李晓东等研究了高血压脉压与HRV的关系,高血压宽脉压组与正常脉压组、对照组比较,SDNN、SDANN、SDNNI和rMSSD、PNN50均降低,差异均有显著性意义(P<0.05);正常脉压组与对照组比较,以上参数除rMSSD、PNN50(反映副交感神经功能)外也降低(P<0.05)。这说明高血压患者都存在交感神经功能损害,脉压越大,交感神经功能的损害越明显。
(四)hRV在心力衰竭中的应用 近年来,已公认HRV分析是判断自主神经活动的常用的定量指标,HRV的降低是预测心脏病患者死亡的独立危险因子。心力衰竭的发生过程中存在着自主神经功能的受损,其首先表现为迷走神经功能的损害,此时心脏功能主要依靠交感神经功能来维持,但随着心力衰竭加重及病程延长,长期过高的儿茶酚胺刺激会导致心肌β受体密度下调,交感神经功能也会受到损害。心力衰竭患者的HRV分析中我们发现,心力衰竭患者的HRV时域法测定指标SDNN、rMSSD、PNN50均下降,频域测定法中TP、LF、HF均降低,但代表副交感神经功能受损的HF降低更明显,LF/HF值由于HF降低幅度加大而增大;而不同心功能组间的比较发现,随着心功能受损加重,HRV各指标降低,LF降低的幅度明显增加,说明随着心功能受损加重,其交感神经功能受损也趋严重,此时代表交感神经和副交感神经双重活性的LF出现下降,与心力衰竭发生过程中交感、副交感神经受损情况相符。
心力衰竭组心率变异指标SDNN、rMSSD、PNN50昼夜无差异,反映了自主神经对心率、心律的总体调控作用的昼夜节律性丧失,在夜间迷走神经张力活动也相对减弱,心衰患者HRV各项指标下降,即在心功能代偿组SDNN、sDANN、SDNNindex指数较正常组有所下降,提示自主神经受损可能在心血管疾病未出现心力衰竭时已经存在。
最近SAPALDIA(Swiss cohortstudy on AirPollution and Lung Diseases in Adults)对1742例年龄≥50岁的一个大样本,进行了24小时心电图监测,发现HRV与目前所知道的心血管的危险因子有联系。经多变量回归分析,发现女性比男性的SDNN、TP、LF分别低6.1%、11.4%、27.2%。BMI体重指数每增加一个单位,SDNN降低0.7%,TP降低1.2%。高血压者的LF比血压正常者低9.2%,现时吸烟者比不吸烟者低15.5%。
慢性心力衰竭通常是各种心脏病发展的终末阶段。因心功能减退不能满足机体活动或静息状态下的需要,表现出交感神经活性亢进,迷走神经活性受抑,植物神经系统的平衡功能受损。陈安强等对48例慢性心力衰竭患者40例正常对照组比较,发现SDNN作为反映总体自主神经系统功能的指标,心衰组均下降,表明其自主神经系统总体功能的减弱;而从轻、重度慢性心力衰竭组比较可见,重度慢性心力衰竭组更明显。作为反映交感神经功能的SDANN及反映迷走神经功能的RMSSD及PN50均呈现降低;轻度慢性心力衰竭患者HRV参数明显低于正常人群组,提示慢性心力衰竭早期即有心脏自主神经功能的损害;重度慢性心力衰竭组HRV参数明显低于轻度组,可见慢性心力衰竭愈重,HRV参数降低愈明显,心脏自主神经对心脏调控能力愈低下。
国内曾对36例慢性心衰患者和30例正常对照组行24小时动态心电图,发现慢性心力衰竭患者的HRV的时域与频域指标均明显降低;其昼夜变化消失,即使在夜间睡眠时,HF成分仍处于低水平,即迷走神经活力减弱。这表明慢性慢性心力衰竭患者自主神经对心脏的调节能力明显减弱+功能受到损害,且以迷走神经受损为主。同样,观察到心功能越差,其HRV降低越明显,死亡者与心衰组比较有非常显著性差异(P<0.01),表明心功能愈差,迷走神经受损愈严重,日后发生心脏性猝死的机会增多。
心脏受自主神经支配,自主神经中交感神经和迷走神经相互协调作用维持着正常的心跳节律及心脏的正常活动,一旦这种相互协调作用失去平衡,将导致心律改变和心血管系统功能紊乱,这就是HRV分析生理基础。因此,HRV的检测和分析能反映心血管系统的自主神经功能状况。慢性心衰时由于各种原发病对心脏自主神经的损害,使自主神经对心脏的支配出现明显异常,交感神经与迷走神经相互协调失去平衡,导致HRV改变。谢震君对58例慢性心衰患者及49例健康人进行HRV分析研究发现,HRV与心功能分级呈明显的负相关,反映HRV大小的所有指标;慢性心衰患者均明显低于心功能Ⅰ级的健康人,说明心衰患者迷走神经受损,同时也累及交感神经。慢性心衰患者,由于各种原发病对心脏植物神经损害的程度不一,HRV也出现相应的变化。随着病情加重(心功能Ⅱ~Ⅲ级,Ⅲ~Ⅳ级),心衰越重,HRV也明显降低(P<0.05,P<0.001),即HRV随病情加重而下降。这提示HRV分析可作为观察病情变化的一个指标。大量的研究提示,HRV的测定与心脏猝死、严重心律失常、心力衰竭和心肌梗死的预后有密切关系,HRV可作为慢性心衰患者预后分析的一个独立指标;同时也证实,在慢性心衰患者中,病情越重,心功能越差,预后就越差,由于HRV与心功能分级呈负相关,说明在慢性心衰患者中,HRV越低,预后越差。在研究心率变异性5项指标中,我们可以看出以SDNN、DANNIndex、SDNNIndex最为敏感(P<0.001),最能反映出心衰患者心率变异性变化。
(五)hRV在其他方面的应用急性期卒中患者的HRV均降低,其HRV昼夜节律明显消失,但以重症患者变化更明显,提示脑卒中将导致不同程度的植物神经活性破坏并引起HRV改变。HRV的降低及其昼夜节律消失与脑功能损伤程度有一致性,随病情的进展,HRV进一步降低。
HRV还用在心脏移植、扩张型心肌病、胎儿宫内窒息、血管迷走性晕厥、体位性低血压、睡眠呼吸暂停综合征、心肌病、心脏移植等常伴自主神经功能障碍的疾病,HRV是分析其因果关系的一种有效手段。
四、评价与展望
HRV检查作为一项无创性检测技术,近年已成为十分热门的课题。它揭示了一部分交感神经和迷走神经张力变化的互动机制,揭开了自主神经变化神秘面纱的一角。经统计,HRV的文章逐年增多,其中有很多有价值的研究成果,但也有一些问题。如检测指标的选择不当等,所用的软件无统一的标准,各研究结果缺乏可比性等。目前临床医师对HRV的认识逐步深入,对检查方法逐渐熟悉,其研究和应用的范围越来越广泛,这些均使得HRV检查能更好的服务临床,相信HRV的检测在不远的将来会有更广阔的前景。
(王红宇 王彩星 李俊伟)