知识内容
三部门经济均衡国民收入的决定
同两部门经济均衡国民收入的决定一样,加入政府部门之后的三部门经济均衡收入的决定仍可以采取如下两种办法。
(一)根据计划的总需求来求解均衡的国民收入
三部门经济中计划的总需求包括消费、投资和政府购买支出,即。需要注意的是,在三部门经济中,消费不再简单地取决于国民收入
,而是取决于可支配收入
,可支配收入是居民可以用于消费与储蓄的收入,是在国民收入的基础上减去税收、再加上转移支付得到的。即
这里的税收指的是总税收额,可以有两种情况,一种为定量税,即税收量不随收入而变动,用来表示;另一种为比例税,即随收入增加而增加的税收量,用
来表示,其中税率
表示税收占收入的比例。所以,如果税收既包括定量税,又包括比例税,就可以写成:
三部门经济中的消费函数可以写成:
假定政府购买支出是一个既定的常量,则三部门经济的总需求为:
令
表示三部门经济中的自发总需求,则
。由于均衡的国民收入是与总需求相一致的国民收入,所以有:
![]()
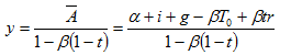
整理上述公式,则三部门经济中均衡国民收入的决定公式为:
![]()
可见,在三部门经济中,均衡国民收入的大小与自发消费、自发投资、政府购买支出。
(二)根据计划的总需求和总供给相等来求解均衡的国民收入
三部门经济中,从收入的角度来看,计划的总供给包括消费、储蓄和净税收。当国民收入达到均衡时,必然有计划的总需求等于计划的总供给,所以:
同消费函数一样,三部门经济中储蓄函数也取决于可支配收入,即:
将储蓄函数代入总供求相等的公式中,有:
整理上式,可得:

可见,无论采用哪种方法,解得的均衡国民收入水平都是一样的。
三部门经济中的各种乘数
加入政府部门以后,不仅投资支出变动有乘数效应,政府购买、税收和政府转移支付的变动,同样有乘数效应,因为这些变量都会影响到消费。
根据上面推导出的三部门经济均衡国民收入的计算公式,我们可以分别求出与政府相关的各个乘数。
(一)政府购买支出乘数
政府购买支出乘数,是指国民收入变动对引起这种变动的政府购买支出变动的比率。如果我们以表示政府购买支出变动,以
表示国民收入变动,以
表示政府购买支出乘数,则政府购买支出乘数可以表示为以下形式:
乘数公式的推导过程如下:
在公式中,如果其他条件不变,只有政府购买支出
发生变动,那么,政府购买支出从
变为
时的国民收入就分别是:
和
用减去
,可得:
所以
如果和
的变动都极小,乘数就可以表示成导数的形式,则有:
根据均衡国民收入的计算公式,可以直接求出政府购买支出乘数的公式。对
求导,正好等于均衡国民收入计算公式中
的系数,即
。
如果不存在比例税,即,则政府购买支出乘数,与两部门经济中的投资乘数相等。
(二)税收乘数
税收乘数指国民收入变动对引起这种变动的税收变动的比率。税收乘数有两种:一种是税率变动对国民收入的影响;另一种是税收绝对量变动对国民收入的影响,即定量税对国民收入的影响。我们这里只讨论后一种。
用与推导政府购买支出乘数同样的方法,我们可以得到税收乘数:
税收乘数为负值,表示国民收入随税收增加而减少,随税收减少而增加。因为税收增加时,人们的可支配收入会减少,从而使消费相应减少,于是,税收变动和总需求变动的方向就是相反的。
(三)政府转移支付乘数
政府转移支付乘数指国民收入变动对引起这种变动的政府转移支付变动的比率。政府转移支付增加会增加人们的可支配收入,因而消费会增加,最终会导致总需求和国民收入的增加。因而政府转移支付乘数为正值。政府转移支付乘数的计算公式如下:
政府转移支付乘数与税收乘数大小相等,但符号相反。我们比较一下政府购买支出乘数、税收乘数和政府转移支付乘数,就可以看到,,
。因为政府购买支出增加1美元,一开始就会使总需求增加1美元,而减税1美元,却只能先使居民的可支配收入增加1美元,这1美元中又只有一部分(
)用于增加消费,另一部分则增加了储蓄。所以,减税1美元对国民收入变化的影响没有增加政府购买支出1美元对国民收入变化的影响大。关于
的原因,可以用同样的理由解释。
由于政府购买支出乘数大于税收乘数和转移支付乘数,所以,西方学者认为,改变政府购买水平对宏观经济活动的影响效果要大于改变税收和转移支付的效果。改变政府购买支出水平是财政政策中最有效的手段。
同时,由于政府购买支出乘数大于税收乘数,所以,当政府购买支出和税收各自增加相同的数量时,也会使国民收入有所增加,不过,其增加的幅度要小得多。这就是所谓平衡预算乘数的作用。
(四)平衡预算乘数
平衡预算乘数指政府购买支出和政府税收收入同时以相等的数量增加或减少时,国民收入变动对政府收支变动的比率。平衡预算乘数的计算公式如下:
由于,所以,平衡预算乘数小于政府购买支出乘数。
总之,三部门经济中的各种乘数反映了政府财政政策对国民收入水平的影响。例如,假设政府购买支出乘数,则政府购买支出增加100亿美元,就会使国民收入增加500亿美元。我们还可以将三部门经济中的各种乘数与两部门经济中的投资乘数作一下比较,在三部门经济中,各种乘数要小于两部门经济中的投资乘数,这说明,政府的财政支出和财政收入政策能够在一定程度上起到稳定经济的作用。三部门经济国民收入的波动幅度要小于两部门经济国民收入的波动幅度。

